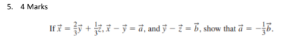
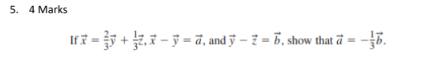
Question: Given 7 = 27 - J and y = -7 + 5). find a vector equivalent to each of the following: 2(7 + 37) -






Given 7 = 27 - J and y = -7 + 5). find a vector equivalent to each of the following: 2(7 + 37) - 3(7+ 5x)\f6. 4 Marks ABCD is a parallelogram whose diagonals BD and AC meet at the point E. Prove that EA + EB + EC + ED = 0
Step by Step Solution
There are 3 Steps involved in it
Get step-by-step solutions from verified subject matter experts
