Question: Given a dataset of N data points xi Rd which are labelled by yi {-1, +1}, i= 1,..., N , support vector machine (SVM) aims
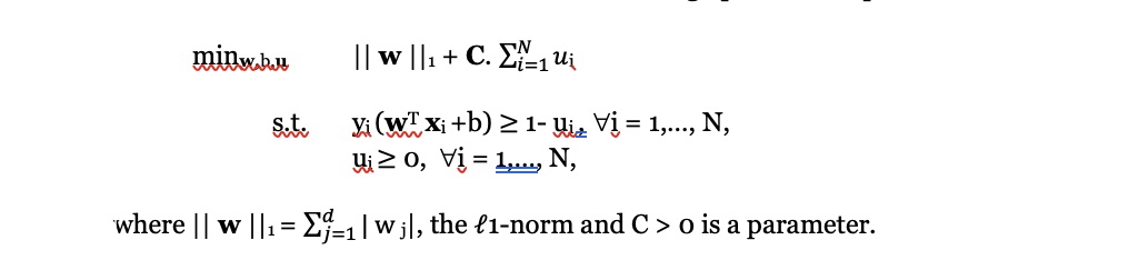
Given a dataset of N data points xi Rd which are labelled by yi {-1, +1}, i= 1,..., N , support vector machine (SVM) aims to find a separating hyperplane (H) : wT x+b=0 with w Rd and b R that separates xi into two classes defined by yi , i =1,... , N . Ideally, one would like to make sure that if yi =+1, wT xi +b 1 and if yi = -1, wT xi +b 1 for all i= 1,..., N Questions 1. One of the SVM models can be written as the following optimisation problem ( refer to the attached image) Explain why this optimisation problem can be used to find a suitable separating hyperplane to separate the given data into two classes. Explain the additional decision variables u, the constraints, and the two components of the objective function. 2. (Reformulate the above problem as a linear optimisation problem. Explain in detail how you can solve the resulting optimisation problem in Excel using Open Solver (https://opensolver.org/). 3. You are given a dataset Data.xlsx of Australian credit approval data generated from https://www.csie.ntu.edu.tw/~cjlin/libsvmtools/datasets/binary.html. The first column is the classification and the remaining 14 columns are attributes. There are four binary attributes (1, 8, 9, 11) and four categorical attributes (4, 5, 6, 12) while others are continuous. Explain any data preparation process that one should apply on this dataset before using the SVM model. 4. (Use the SVM optimisation problem to find a classifier which can identify whether a record is approved or not from the resulting dataset. Explain in detail how one can select the parameter C and analyse the classification results.

\f
Step by Step Solution
There are 3 Steps involved in it
Get step-by-step solutions from verified subject matter experts
