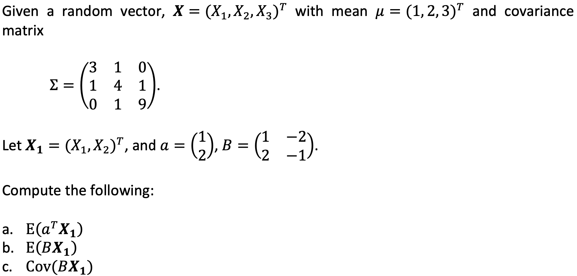
Question: Given a random vector, X = (X1, X2, X3) with mean M = (1, 2, 3) and covariance matrix 3 1 0 1 4 1

Step by Step Solution
There are 3 Steps involved in it
1 Expert Approved Answer
Step: 1 Unlock
Question Has Been Solved by an Expert!
Get step-by-step solutions from verified subject matter experts
Step: 2 Unlock
Step: 3 Unlock
