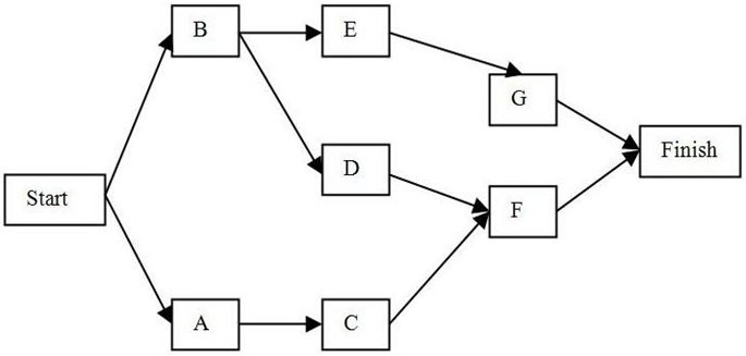
Question: Given: a). What is the critical path b). What is the probability that the project will be completed in 22 weeks. B). Given
Given:


a). What is the critical path
b). What is the probability that the project will be completed in 22 weeks.
B). Given
Step by Step Solution
There are 3 Steps involved in it
Get step-by-step solutions from verified subject matter experts
