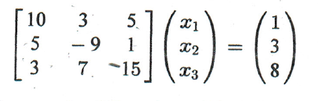
Question: Given Ax=b . Find the upper triangular matrix {U} and modified right hand side vector b produced by Gauss Elimination without pivoting . 138 123

Given Ax=b . Find the upper triangular matrix {U} and modified right hand side vector b produced by Gauss Elimination without pivoting .

138 123 511 9 3-7 153 22. Upon completion of the triangulation procedure, the element of the triangulated matrix a2,s is (a) 11.892 (b) -3.188 (d) -1.5
Step by Step Solution
There are 3 Steps involved in it
Get step-by-step solutions from verified subject matter experts
