Question: Given below are the demand schedule and supply schedule for the labour market for supervisors. Remember that demand for labour represents the employers' demand for
Given below are the demand schedule and supply schedule for the labour market for supervisors.
Remember that demand for labour represents the employers' demand for workers, while supply represents the workers' willingness to work.
Daily Wage for Supervisors | Quantity Demanded (000s) | Quantity Supplied (000s) |
$200 | 560,000 | 40,000 |
$225 | 475,000 | 65,000 |
$230 | 375,000 | 100,000 |
$270 | 300,000 | 125,000 |
$300 | 295,000 | 295,000 |
$325 | 200,000 | 350,000 |
$340 | 100,000 | 465,000 |
$365 | 61,000 | 575,000 |
A. Graph the demand and supply curve on one graph and determine equilibrium in this market. STATE the equilibrium. Label the graph properly. Please state the wage and quantity that establishes equilibrium.
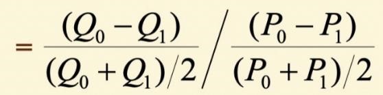
b. Calculate the coefficient of price elasticity of demand if the daily wage goes from $230 to $270. Is elasticity at this level inelastic or elastic? Use the mid-point method and calculate to 2 decimal places.

(20-21) (Po-P) (Q+Q)/2 (P+P)/2
Step by Step Solution
There are 3 Steps involved in it
Get step-by-step solutions from verified subject matter experts
