Question: Given R x 2 - x y y 2 d A Evaluate the given integral where R is the ellipse given by x 2 -
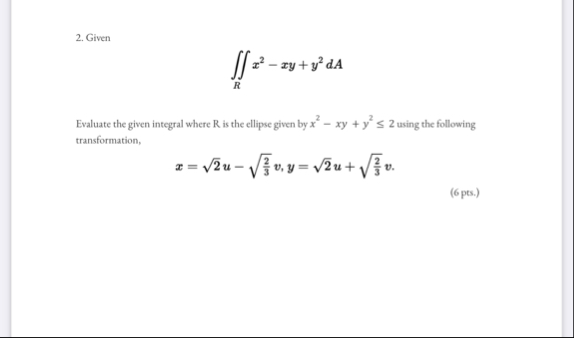
Given
Evaluate the given integral where R is the ellipse given by using the following transformation,
pts
Step by Step Solution
There are 3 Steps involved in it
1 Expert Approved Answer
Step: 1 Unlock
Question Has Been Solved by an Expert!
Get step-by-step solutions from verified subject matter experts
Step: 2 Unlock
Step: 3 Unlock
