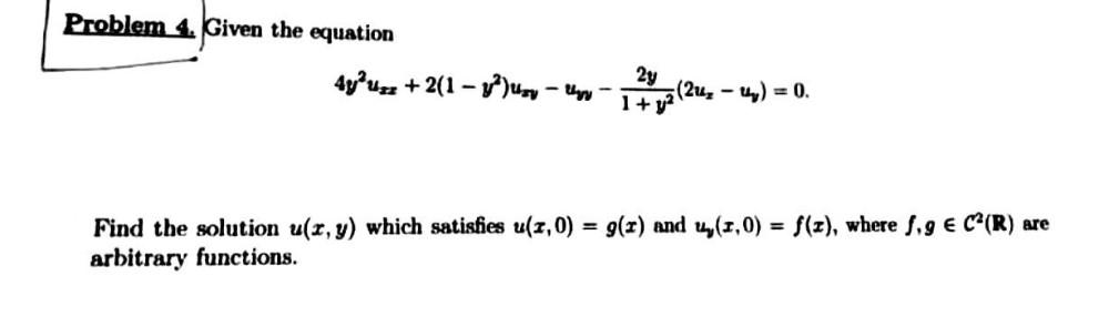
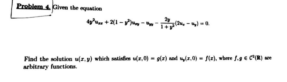
Question: Given the equation 4yu???????? + 2(1-y)u????? - u??- 2y(2u? - u?)/(1+ y) = 0. Find the solution u(x, y) which satisfies u(x,0) = g(x) and


Given the equation 4y²u???????? + 2(1-y²)u????? - u??- 2y(2u? - u?)/(1+ y²) = 0. Find the solution u(x, y) which satisfies u(x,0) = g(x) and u?(x,0) = f(x), where f, g ? C²(R) are arbitrary functions.
Step by Step Solution
There are 3 Steps involved in it
Get step-by-step solutions from verified subject matter experts
