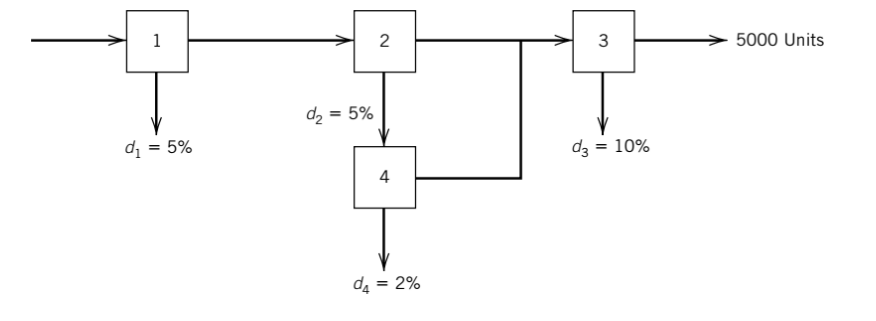
Question: Given the figure below, operation 4 represents a rework operation on parts that fail inspection upon completion of operation 2. How many units must the
Given the figure below, operation 4 represents a rework operation on parts that fail inspection upon completion of operation 2. How many units must the process start with in order to meet the required output of 5000 units?

5000 Units d3=10%
Step by Step Solution
There are 3 Steps involved in it
Get step-by-step solutions from verified subject matter experts
