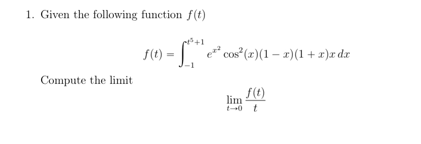
Question: Given the following function f ( t ) f ( t ) = - 1 t 5 + 1 e x 2 c o s
Given the following function
Compute the limit
Step by Step Solution
There are 3 Steps involved in it
1 Expert Approved Answer
Step: 1 Unlock
Question Has Been Solved by an Expert!
Get step-by-step solutions from verified subject matter experts
Step: 2 Unlock
Step: 3 Unlock
