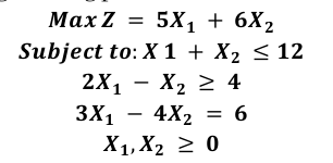
Question: Given the following linear programming problem: a) Find the optimum solution graphically. b) Find the optimum solution using the Simplex algorithm. c) Check your solution
Given the following linear programming problem:

a) Find the optimum solution graphically.
b) Find the optimum solution using the Simplex algorithm.
c) Check your solution by using EXCEL/Solver.
d) ind the optimum solution assuming that the value of X 1 is an integer. Use the cutting plane algorithm to find the first additional constraint equation that augments the existing LP problem. Plot the new constraint and check analytically if the optimal integer solution has been reached (Do not use Simplex again). Check your solution by using EXCEL/Solver.
MaxZ=5X1+6X2 Subject to: X1+X212 2X1X24 3X14X2=6 X1,X20Step by Step Solution
There are 3 Steps involved in it
Get step-by-step solutions from verified subject matter experts
