Question: Given the following tree, what would a post - order traversal print to the screen? d , c , b , a , h ,
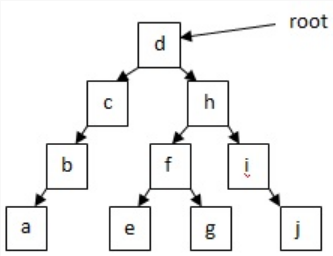
Given the following tree, what would a postorder traversal print to the screen?
d c b a h f e g i j
a b c e g f j i h d
a b c d e f g h i j
d c h b f i a e g j
a b c d h f e g i j
j i h g f e d c b a
Step by Step Solution
There are 3 Steps involved in it
1 Expert Approved Answer
Step: 1 Unlock
Question Has Been Solved by an Expert!
Get step-by-step solutions from verified subject matter experts
Step: 2 Unlock
Step: 3 Unlock
