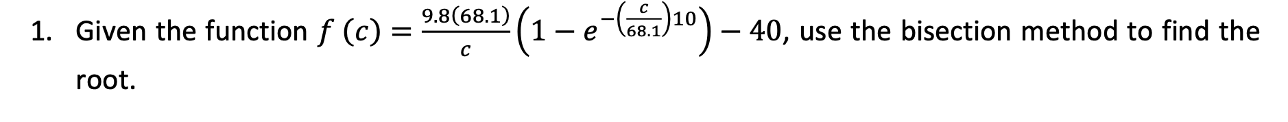
Question: Given the function f ( c ) = 9 . 8 ( 6 8 . 1 ) c ( 1 - e - ( c
Given the function use the bisection method find the
root.
Step by Step Solution
There are 3 Steps involved in it
1 Expert Approved Answer
Step: 1 Unlock
Question Has Been Solved by an Expert!
Get step-by-step solutions from verified subject matter experts
Step: 2 Unlock
Step: 3 Unlock
