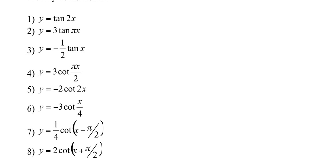
Question: Graph the function and list the a value, the period, phase shift and any vertical shift. 1) y = tan 2x 2) y = 3
Graph the function and list the "a" value, the period, phase shift and any vertical shift.

1) y = tan 2x 2) y = 3 tan X 3) y= - - tan x 2 JTX 4) y = 3cot 2 5) y = -2 cot 2x 6) y = -3cot 4 4 7) y = - cot x -t/ 2 8) y = 2cot (x + 7)
Step by Step Solution
There are 3 Steps involved in it
Get step-by-step solutions from verified subject matter experts
