Question: Graph the function and list the a value, the period, phase shift and any vertical shift. 9) y = tan 2x + N & X
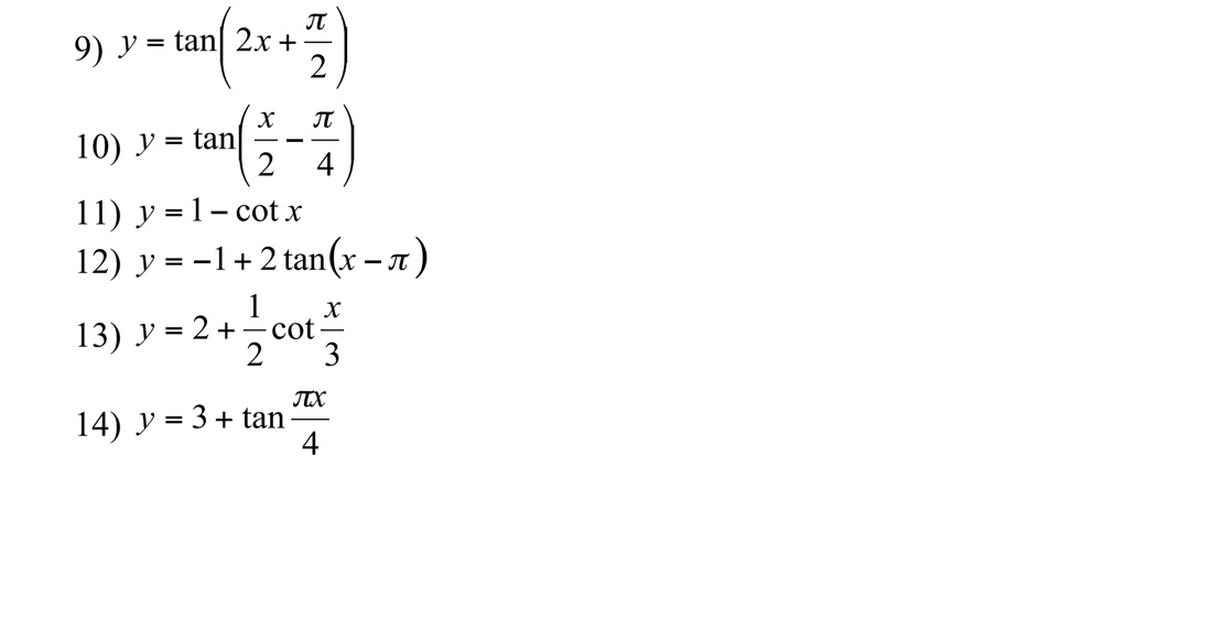
Graph the function and list the "a" value, the period, phase shift and any vertical shift.

9) y = tan 2x + N & X 10) y = tan N 4 11) y = 1- cot x 12) y = -1+ 2 tan(x - It ) 13) y = 2+ -cot- 2 3 JTX 14) y = 3 + tan 4
Step by Step Solution
There are 3 Steps involved in it
Get step-by-step solutions from verified subject matter experts
