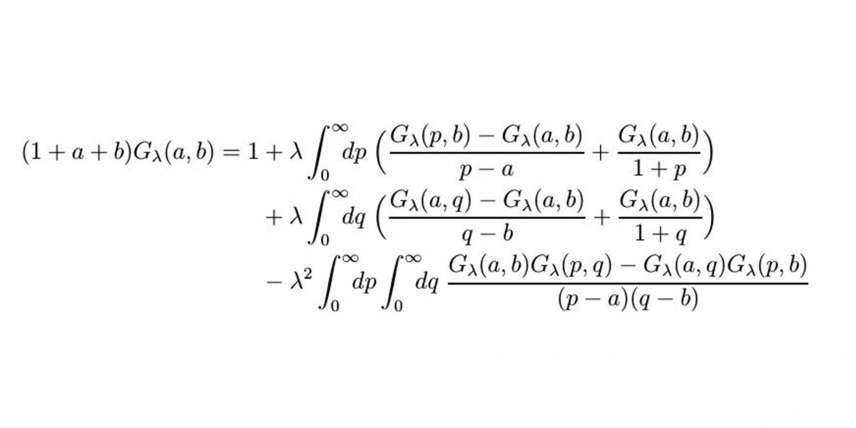
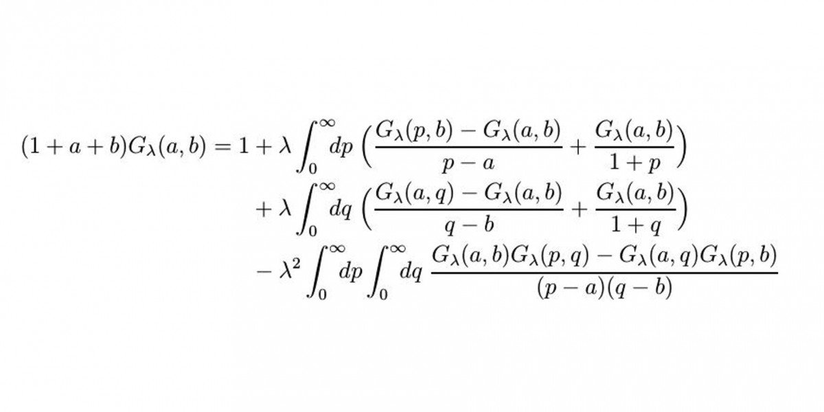
Question: Gx(p, b) - Gx(a, b) G. (a, b) + 1+p (1 + a+ b)Gx(a, b) = 1+> dp p - a 0 Gx(a, q) -


Gx(p, b) - Gx(a, b) G. (a, b) + 1+p (1 + a+ b)Gx(a, b) = 1+> dp p - a 0 Gx(a, q) - Gx(a, b Gx(a, b OO + + 1 dq q -b 1 + q 0 Gx(a, b)Gx(p, q) - Gx(a, q) Gx(p, b) - 12 dp dq (p - a) (q-b) 0
Step by Step Solution
There are 3 Steps involved in it
Get step-by-step solutions from verified subject matter experts
