Question: he unit is km :) . UNIT IS KM :) Trice Update To keep up-to-date with security updates, Tixes, and improvements, choose check for updates.
he unit is km :)


. UNIT IS KM :)
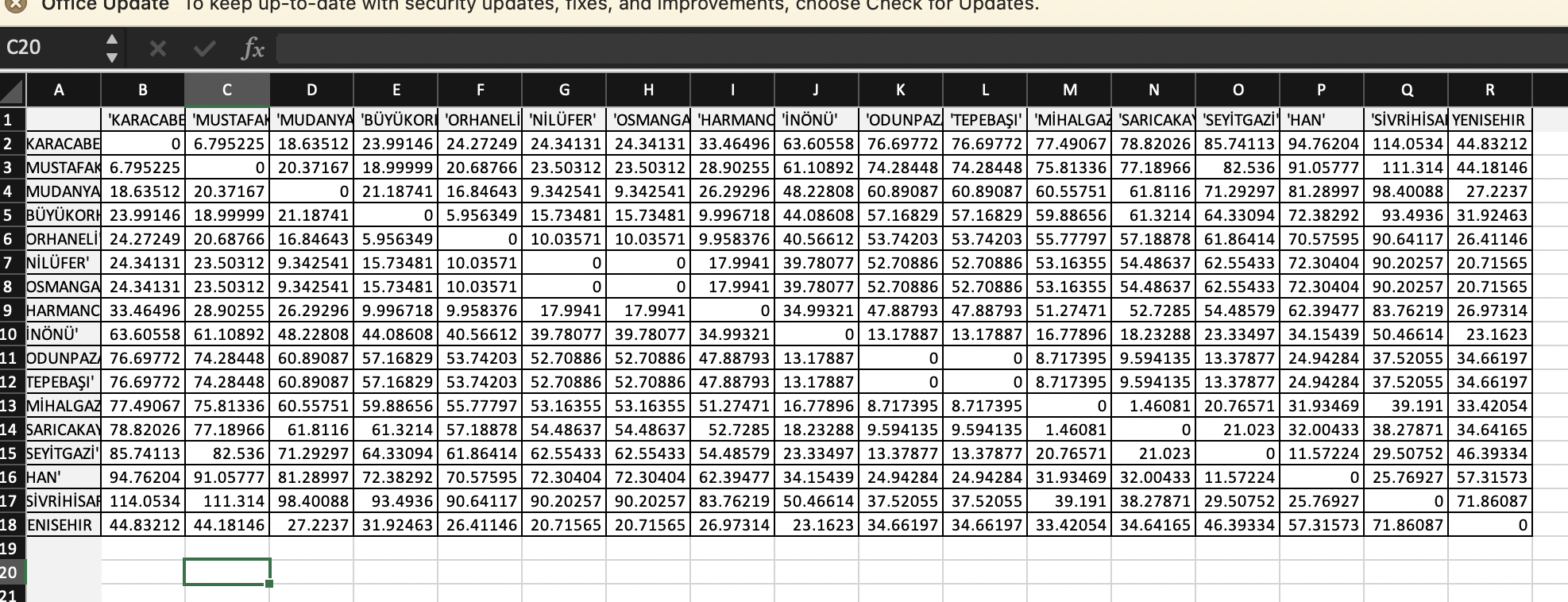
Trice Update To keep up-to-date with security updates, Tixes, and improvements, choose check for updates. C20 fx A B D E F. G H I J L M N O P P Q R 1 'KARACABE 'MUSTAFAH 'MUDANYA 'BYKORI ORHANEL'NLFER' OSMANGA 'HARMAND 'NN' TODUNPAZ TEPEBAI' 'MHALGA SARICAKAY 'SEYTGAZ' 'HAN' "SVRHSA YENISEHIR 2 KARACABE 0 6.795225 18.63512 23.99146| 24.27249 24.34131 24.34131) 33.46496 63.60558 76.69772) 76.69772 77.49067| 78.82026 85.74113 94.76204 114.0534 44.83212 3 MUSTAFA 6.795225 0 20.37167 18.99999 20.68766 23.50312 23.50312 28.90255 61.10892 74.28448 74.28448 75.81336| 77.18966 82.536 91.05777 111.31444.18146 4. MUDANYA 18.63512 20.37167 0 21.18741 16.84643 9.342541 9.342541 26.29296 48.22808 60.89087 60.89087 60.55751 61.8116 71.29297| 81.28997| 98.40088 27.2237 5 BYKORH 23.99146 18.99999 21.18741 05.956349 15.73481 15.73481 9.996718 44.08608 57.16829 57.16829 59.88656 61.3214 64.33094 72.38292 93.4936 31.92463 6 ORHANEL 24.27249 20.68766 16.84643 5.956349 0 10.03571 10.03571 9.958376 40.56612 53.74203 53.74203 55.77797 57.1887861.86414 70.5759590.64117 26.41146 7 NLFER' 24.34131 23.50312 9.342541 15.73481 10.03571 0 0 17.9941 39.78077 52.70886 52.70886 53.16355 54.48637 62.55433 72.30404 90.20257 20.71565 8 OSMANGA 24.34131 23.50312 9.342541 15.73481 10.03571 0 0 17.9941 39.78077 52.70886 52.70886 53.16355 54.48637 62.55433 72.30404 90.20257 20.71565 9 HARMANC 33.46496 28.90255 26.29296 9.996718 9.958376 17.9941 17.9941 0 34.99321 47.88793 47.88793 51.27471 52.7285 54.48579 62.39477| 83.76219 26.97314 10 NN' 63.60558 61.10892 48.22808 44.08608 40.56612 39.78077 39.78077 34.99321 0 13.17887 13.17887| 16.77896 18.23288 23.33497 34.15439 50.46614 23.1623 11 ODUNPAZ 76.69772) 74.28448 60.89087 57.16829 53.74203 52.70886 52.70886 47.88793 13.17887 0 0 8.717395 9.594135 13.37877| 24.94284 37.52055 34.66197 12 TEPEBAI' | 76.69772 74.28448 60.89087 57.16829 53.74203 52.70886 52.70886 47.88793 13.17887 0 08.717395| 9.594135 13.37877 24.94284 37.52055 34.66197 13 MHALGA 77.49067| 75.81336 60.55751 59.88656 55.77797 53.16355 53.16355 51.27471 16.77896 8.717395 8.717395 0 1.46081 20.76571 31.93469 39.191 33.42054 14 SARICAKAY 78.82026| 77.18966 61.8116 61.3214 57.18878 54.48637 54.48637 52.7285 18.23288 9.594135 9.594135 1.46081 0 21.023 32.00433 38.27871 34.64165 15 SEYTGAZ'| 85.74113 82.536 71.2929764.33094 61.86414 62.55433 62.55433 54.48579 23.33497 13.37877 13.37877) 20.76571 21.023 0 11.57224 29.50752 46.39334 16 HAN 94.76204 91.05777 81.28997| 72.38292 70.57595 72.30404 72.30404 62.39477 34.15439 24.94284 24.94284 31.93469 32.00433 11.57224 0 25.76927| 57.31573 17 SVRHSAR 114.0534 111.314| 98.40088 93.493690.64117| 90.20257| 90.20257| 83.76219 50.46614 37.52055 37.52055 39.191 38.27871 29.50752 25.76927 0 71.86087 18 ENISEHIR 44.83212 44.18146 27.2237 31.92463 26.41146 20.71565 20.71565 26.97314 23.1623 34.66197 34.66197 33.42054 34.64165 46.39334 57.31573) 71.86087 0 19 20 21 1. There is a carpet cleaning business located at Yenisehir of Eskisehir. They take orders one day before then they collect the dirty carpets the next day. They have two trucks with capacity of one tone. The latest order locations and corresponding weights to pick-up are listed below. Please generate routes for their two trucks with Mayer's method together with brief explanation of your solution steps. (25 pts) Type DistrictName Longitude Latitude Load (kg) Pick-up 'KARACABEY 40,2255 28,37273 74 Pick-up "MUSTAFAKEMALPAA 40,0353 28,4117 101 Pick-up "MUDANYA 40,37639 28,88333 203 Pick-up "BYKORHAN 39,77104 28,88589 52 Pick-up ORHANELI 39,90672 28,98862 69 Pick-up "NLFER 40,18257 29,06687 122 Pick-up "OSMANGAZI 40,18257 29,06687 52 Pick-up "HARMANCIK 39,67611 29,15528 50 Pick-up INONU 39,82123 30,1445 149 Pick-up ODUNPAZARI 39.7843 30,51922 139 Pick-up TEPEBAI 39.7843 30,51922 206 Pick-up "MIHALGAZI" 40,02639 30,57778 87 Pick-up 'SARICAKAYA 40,04034 30,61711 194 Pick-up SEYTGAZI 39,44472 30,69472 238 Pick-up 'HAN 39,15917 30,86139 124 Pick-up SIVRIHISAR 39,45 31,53778 204 Pick-up SVRHSAR 39,45 31,53778 204 Delivery YENISEHIR 40,26444 29,65306 0 HINT: You can use Euclidean distance in order to determine the approximate distance between locations Type District Name Pick-up Pick-up Pick-up Pick-up Pick-up Pick-up Pick-up Pick-up Pick-up Pick-up Pick-up Pick-up Pick-up Pick-up Pick-up Pick-up Delivery 'KARACABEY 'MUSTAFAKEMALPAA' 'MUDANYA' 'BYKORHAN 'ORHANEL 'NLFER 'OSMANGAZ' 'HARMANCIK 'NN' "ODUNPAZARI' 'TEPEBAI 'MHALGAZ 'SARICAKAYA' 'SEYTGAZI 'HAN 'SVRHSAR' YENISEHIR P. Accessibility Mc Longitude Latitude Load (kg) 40,2255 28,37273 74 40,0353 28,4117 101 40,37639 28,88333 203 39,77104 28,88589 52 39,90672 28,98862 69 40,18257 29,06687 122 40,18257 29,06687 52 39,67611 29,15528 50 39,82123 30,1445 149 39,7843 30,51922 139 39,7843 30,51922 206 40,02639 30,57778 87 40,04034 30,61711 194 39,44472 30,69472 238 39,15917 30,86139 124 39,45 31,53778 204 40,26444 29,65306 0