Question: Helen managed a major manufacturing facility that was devoted largely to producing millions of identical small metallic parts. While the parts produced were (intended to
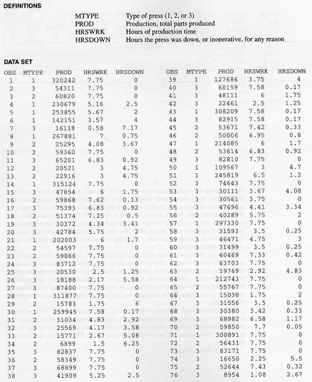
Helen managed a major manufacturing facility that was devoted largely to producing millions of identical small metallic parts. While the parts produced were (intended to be) identical, the facility produced them by using hundreds of presses, of three different types (which we'll call types 1, 2, and 3). The rated production rates for machine types 1, 2, and 3 were 700, 200, and 155 parts per minute, respectively, but actual production rates varied. Helen felt that factors such as quality of input material, worn or "changed-out" dies, and dirty or poorly maintained presses would probably affect production.
The facility had always kept daily production records, but from what Helen could tell, no one ever consulted them or did anything with them other than to put them in file cabinets at the end of each reporting period. She thought that in principle she should be able to monitor production rates for the types of machines, identify any machines that seemed to be in need of adjustment, and characterize the amount of downtime to be expected. Accordingly, she extracted one day's production records for 116 presses at her facility.
The machines were scheduled for a shift of 7.75 hours each day. The operators recorded the hours of operation manually on clipboards kept near each machine. The actual quantities of parts produced were determined from automatic counters on the machines. The data on the next two pages (and in file PROD) were derived from these logs.
Can you advise Helen?

Step by Step Solution
There are 3 Steps involved in it
Get step-by-step solutions from verified subject matter experts
