Question: Hello can anyone do the work for this question (IT SAYS QUESTION 10) needed that's based off of the style of these notes that I
Hello can anyone do the work for this question (IT SAYS QUESTION 10) needed that's based off of the style of these notes that I posted under it? I would like to see the work on paper please. I'd greatly appreciate it thanks. The first image is the question i need answered and the photos under it are the notes style. Please realize that the notes are not the same exact questions.. but gives an idea of the style. Let me know if I need to update the question somehow please and thanks.





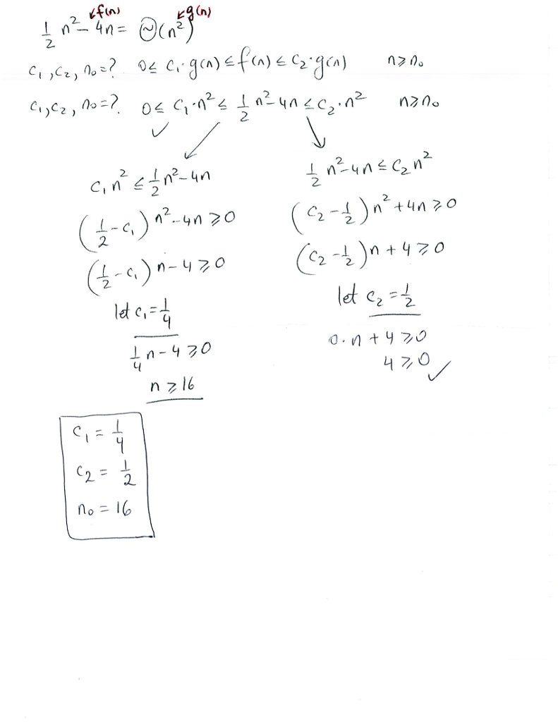
D Question 10 Use formal definitions to show that: n4 + n-500 = (n2) 4n2-n-1000- (n*) Show your work, similar to the examples from the notes
Step by Step Solution
There are 3 Steps involved in it
Get step-by-step solutions from verified subject matter experts
