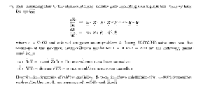
Question: Hello, can someone please help me solve and plot this using MATLAB and depict how to describe the relationship btw foxes and rabbits? I have
Hello, can someone please help me solve and plot this using MATLAB and depict how to describe the relationship btw foxes and rabbits? I have asked for help on this question twice and you guys have only given me the final rabbit and fox value which I already know is close to I am struggling really hard on this question and dont know how to do this on my own.
Step by Step Solution
There are 3 Steps involved in it
1 Expert Approved Answer
Step: 1 Unlock
Question Has Been Solved by an Expert!
Get step-by-step solutions from verified subject matter experts
Step: 2 Unlock
Step: 3 Unlock
