Question: HELLO CAN SOMEONE PLS HELP ME TO ANSWER THESE QUESTIONS (don't forget to show the solution pls) I only have 40 mins to answer this







HELLO CAN SOMEONE PLS HELP ME TO ANSWER THESE QUESTIONS (don't forget to show the solution pls) I only have 40 mins to answer this THANK YOU!
(pls I need the solution) and pls I hope i can understand the writing too. thankyou







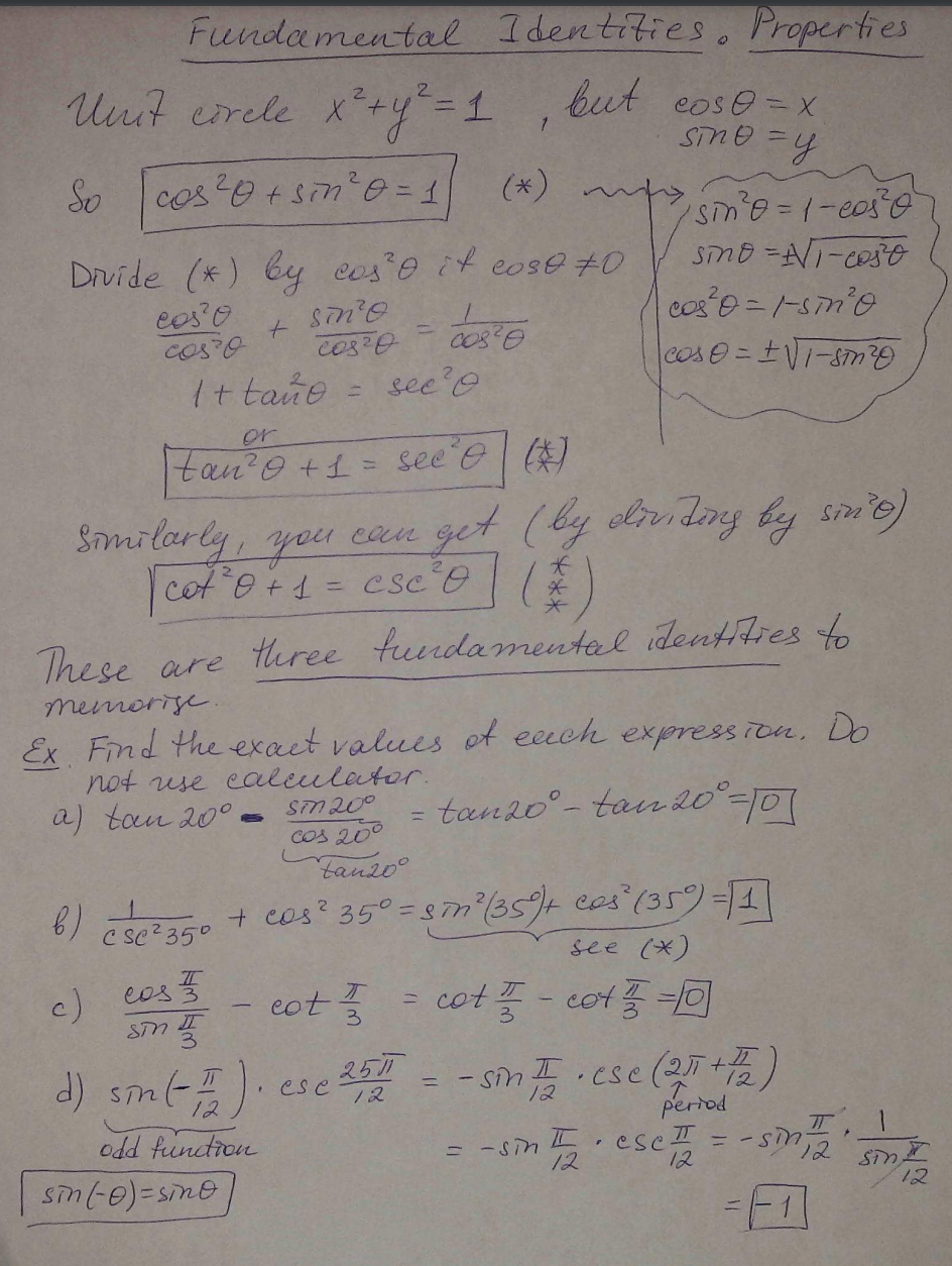
Fundamental Identities. Properties Unit circle x 2 ty? = 1,but coso = x sino = y So cos 20 + sin 2 0 = 1 1 ( * ) sing = 1 - eos 9 Divide ( x ) by cos20 it cost to smo = All-cost eos ?0 cose = + Vi-sin 29 It tano = see?o or tan?9 + 1 = see o (* ) Similarly, you can get ( by dividing by sin's ) cot 8 + 1 = esco These are three fundamental identities to memorize. Ex Find the exact values of each expression. Do not use calculator. a) tan 200 = sin200 cos 200 = tan 20 - tan 20 = to tanzoo (sez350 + cos
Step by Step Solution
There are 3 Steps involved in it
Get step-by-step solutions from verified subject matter experts
