Question: Hello, I have a first year calculus question regarding my homework that i do not understand. Please help me and explain this. thank you very

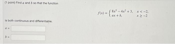
(1 point) Find a and b so that the function is both continuous and differentiable. am b= f(x) = { 8x-4x +3 x
Step by Step Solution
There are 3 Steps involved in it
Get step-by-step solutions from verified subject matter experts
