Question: hello I need help solving those questions please thank you so much in advance! 1- H, A single bead can slide with negligible friction on





hello I need help solving those questions please thank you so much in advance!






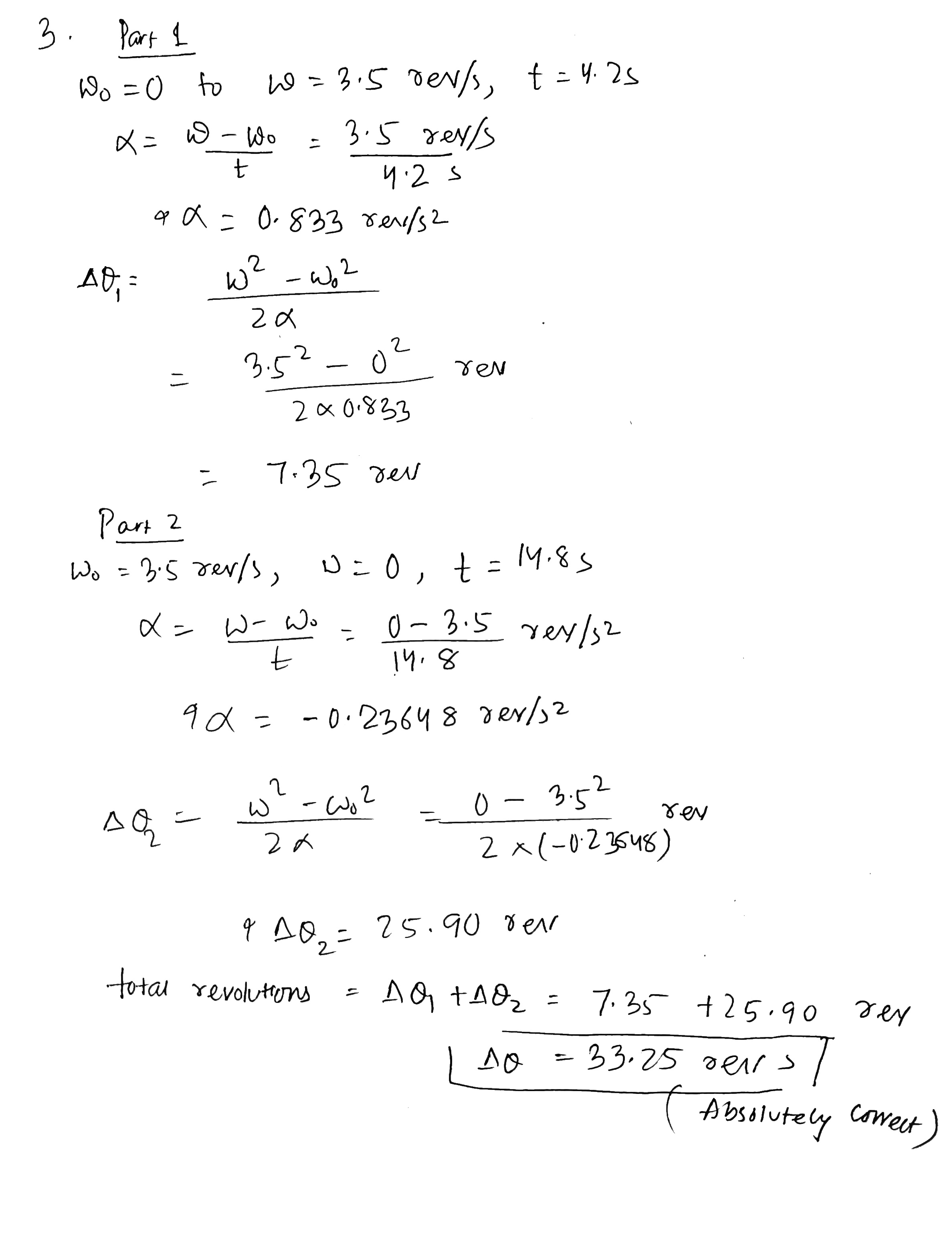
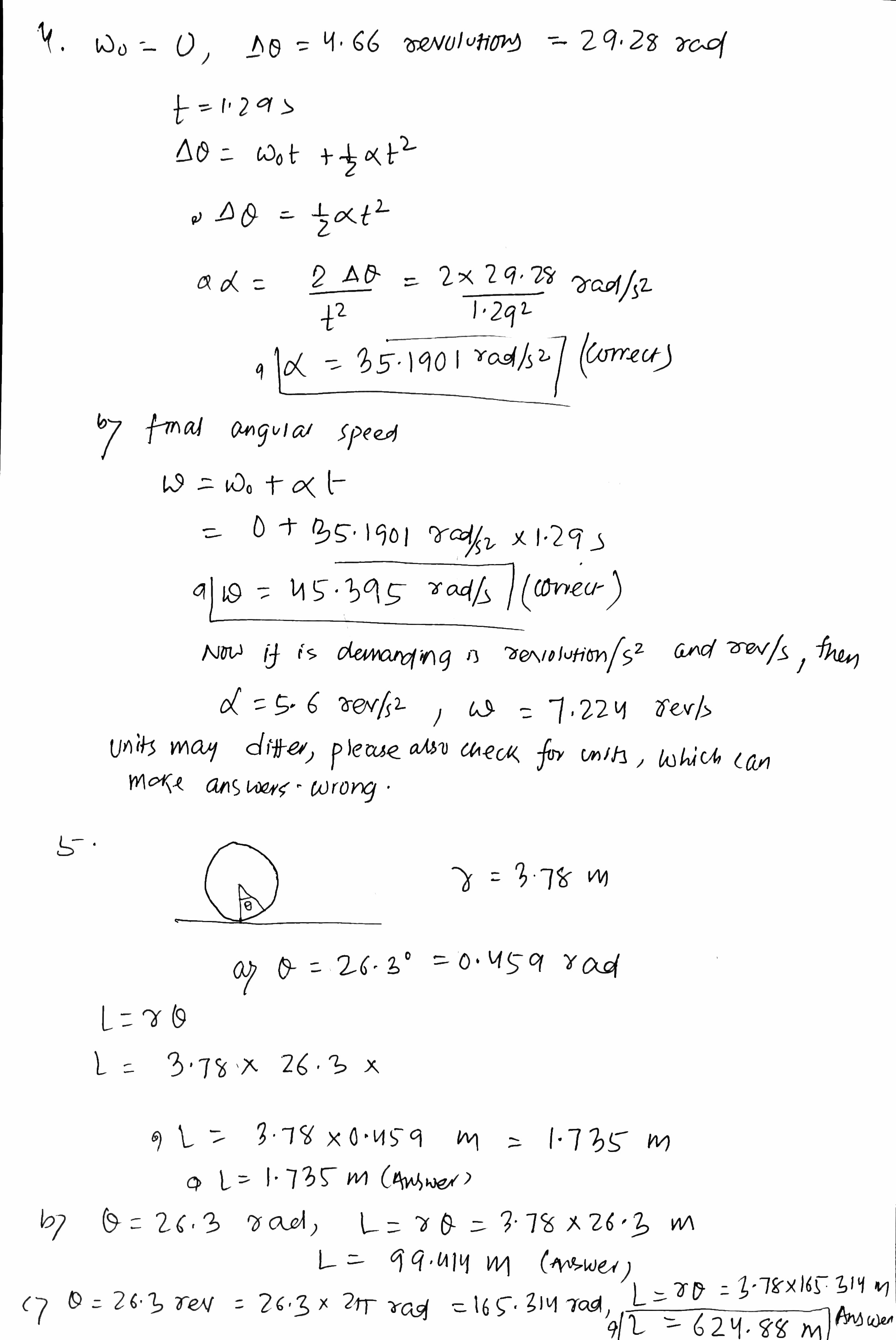
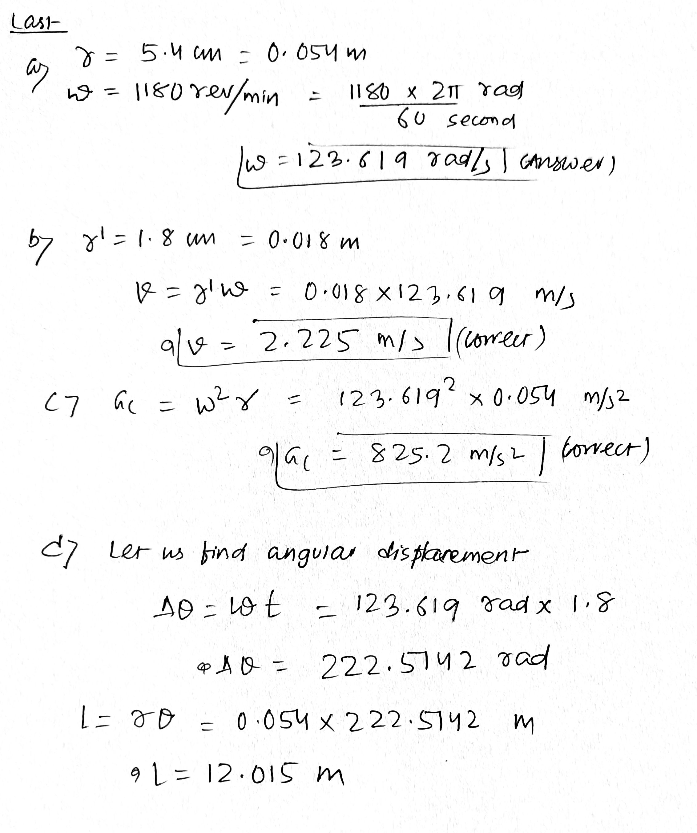
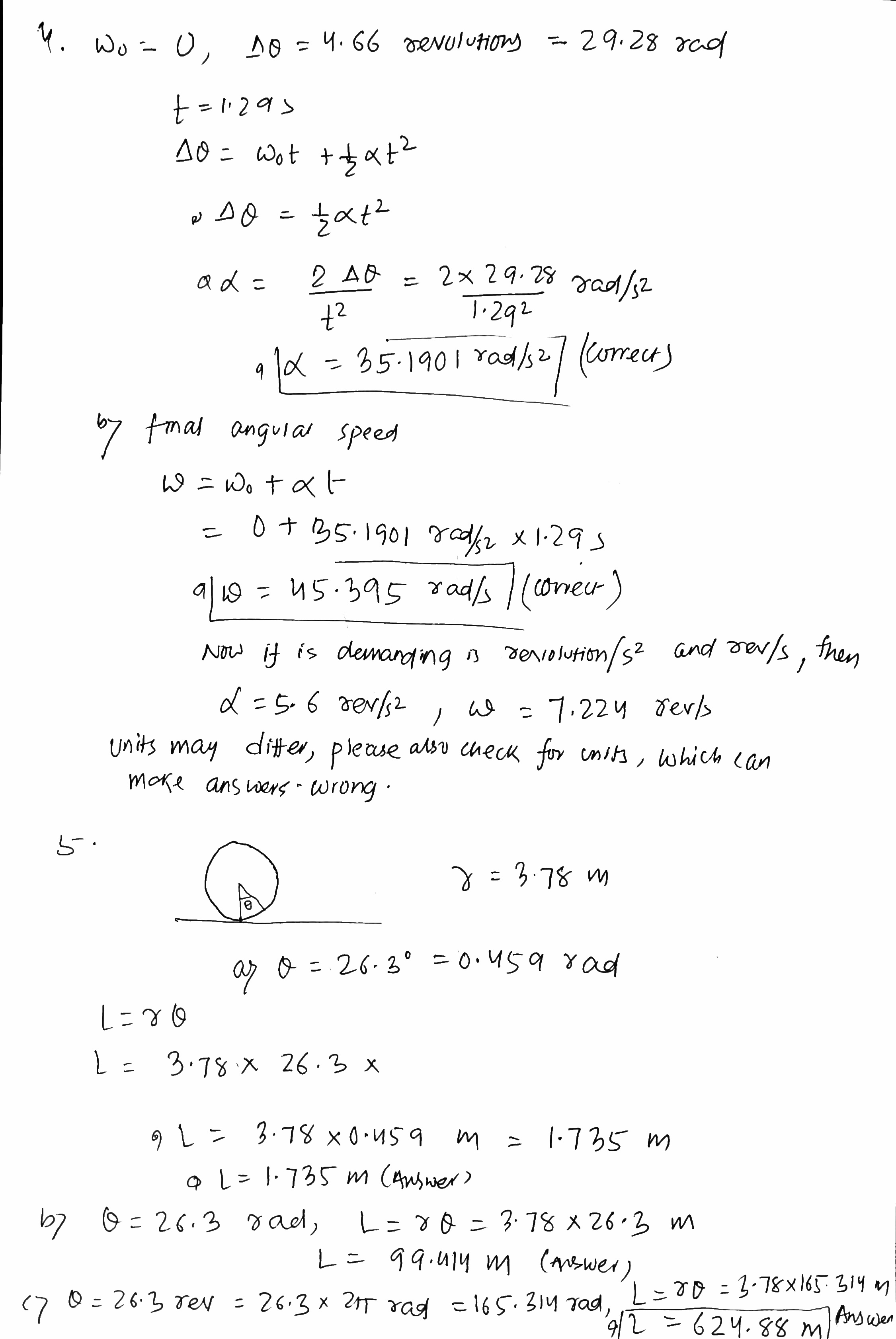
1- H, A single bead can slide with negligible friction on a wire that is bent into a circle of radius 15.1cm, as seen in the figure below' The circle is always in a vertical plane and rotates steadily about its vertical diameter with a period of 0.4885. The position of the bead is described by the angle that the radial line from the center of the loop to the bead makes with the vertical. 5" '3 At what anglle up from the lowest point can the bead stay motionless relative to the rotating circular wire? Submit Answer Tries 0/10 0 a Imagine a Ferris wheel that rotates four times each minute and has diameter of 20.0m. What is the centripetal acceleration of a rider? Submit Answer Tries 0/10 What force does the seat exert on a 48.5kg rider at the lowest point of the ride? Submit Answer Tries 0/10 What force does the seat exert on the rider at the highest point of the ride? Submit Answer Tries 0/10 When the rider is halfway between top and bottom, what is the angle that the force exerted by the seat on the rider makes with the vertical? Submit Answer Tries 0/10 What is the magnitude of the force exerted by the seat on the rider when the rider is halfway between top and bottom? Submit Answer Tries 0/10 0 a The tub of a washing machine goes into its spin cycle, starting from rest and gaining angular speed steadily for 4.205, when it is turning at 3.50rev/s. At this point the person doing the laundry opens the lid, and a safety switch turns off the washing machine. The tub smoothly slows to rest in 14.85. Through how many revolutions does the tub turn while it is in motion? Submit Answer Tries 0/10 Y. a A tire placed on a balancing machine in a service station starts from rest and turns through 4.66 revolutions in 1.295 before reaching its nal angular speed. Calculate its angular acceleration. Submit Answer Tries 0/10 What is the angular speed of the tire after 1.295? Submit Answer Tries 0/10 0 a A wheel has a radius of 3.78m. How far (path length) does a point on the circumference travel if the wheel is rotated through an angle of 263? Submit Answer Tries 0/10 How far does a point on the circumference travel if the wheel is rotated through an angle of 26.3rad? Submit Answer Tries 0/10 How far does a point on the circumference travel if the wheel is rotated through an angle of 26.3rev? Submit Answer Tries 0/10 0 a A high-speed sander has a disk 5.40cm in radius that rotates about its axis at a constant rate of 1180 revolutions per minute. Determine the angular speed of the disk in radians per second. Submit Answer Tries 0/10 Determine the linear speed of a point 1.80cm from the disk's center. Submit Answer Tries 0/10 Determine the centripetal acceleration of a point on the rim. Submit Answer Tries 0/10 Determine the total distance traveled by a point on the rim in 1.805. Submit Answer Tries 0/10 \fY. Wo = U, DO = 4.66 revolution = 29.28 rad + = 1295 10 = Wot + $ at 2 " DO = txt 2 ad = 2 A0 = 2 x 29.28 gad / s z 1 . 292 9 \\ * = 35 . 190 1 rad / s2 / ( correct) by final angular speed W = Wot at = 0+ 35. 1901 rad/z x 1. 295 9/ 1 = 45 . 395 rad/s / ( coneur ) Now if is demanding is sersolution / s2 and ser/s , they d = 5. 6 ver /s 2 , w = 7. 224 rev/s units may differ , please also check for units , which can make answers . wrong . 7 = 3.78 m an o = 26 . 30 = 0 . 45 9 rad L = 3. 78 x 26 . 3 X 9 1 = 3 78 x 0 . 415 9 m = 1. 735 m Q L = 1 . 735 m ( Answer ) by Q = 26.3 rad, L = > Q = 3. 78 x 26 - 3 m L = 99. 414 m (Answer) (7 0 = 26. 3 rev = 26.3 x 215 rag = 165. 314 rag, L = 30 = 3.78 X165. 314 m 9/2 = 624. 88 m| Answer3 , 4 , 5 are done And which part . ? I could not understand . please ask in The comments, I will clarity it,Last- 7 = 5.4 am = 0. 054 m 1 = 1180 rev/min = 1180 x 21 rag 60 second W = 123 . 6 1 9 rad / s ) (Answer ) by 71 = 1. 8 ( = 0 . 018 m 19 = 21 w = 0 . 018 x 123 . 61 9 m/s 9 / 19 = 2. 225 m/s / ( correer ) (7 ac = why = 123. 6192 x 0.054 m/j2 9/ a( = 8 25. 2 m/s 2 | forrect ) C 7 Ler us find angular displacement 10 = lot - 123. 619 Fadx 1.8 4 10 = 222.51 42 bad L = 70 = 0 054 x 2 22 . 5742 m 91 = 12.015 m
Step by Step Solution
There are 3 Steps involved in it
Get step-by-step solutions from verified subject matter experts
