Question: Hello I need help with this transaction please. Please tell me which journal to use on top and please put the entities and amount in



Hello I need help with this transaction please. Please tell me which journal to use on top and please put the entities and amount in that journal. also please include for example to record supplies purchased on account something like that. Also please write clean and step by step. Also please give me correct answers and no wrong answers. you can write on the image so it will be helpful for me. I will do the ledgers. Thank you so much.
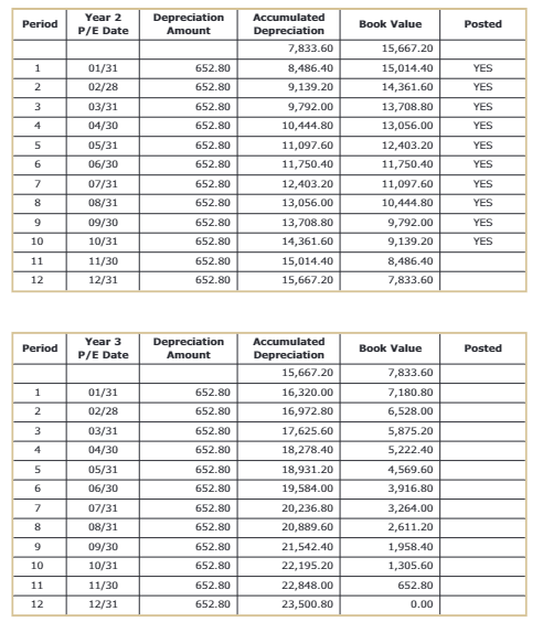
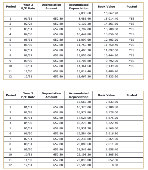
- Ian felt the need for a better air ventilation/dust collection system. He went over to Rocker Woodcraft to purchase a system, taking Check No. 2265 with him. He brought back the dust collection system and the invoice from Rocker Woodcraft (Form 15). He wrote the check in the amount of $750.00 as partial payment, with the remaining to be billed to Basswood Furniture on account. The dust collection system is an asset. Its useful life will be three years, with aresidual value(salvage value) of zero. Record the journal entry for the invoice in the correct G/L accounts and make a new subsidiary ledger account for Rocker Woodcraft. make a Schedule of Depreciation for the asset, assuming straight-line depreciation. (The purchase of the system is being made on the eighth of the month. According to GAAP, because the purchase is made before the fifteenth of the month, the depreciation of the asset can be recognized from the beginning of the month. Therefore, for depreciation purposes, at the end of the accounting period, you'll recognize one month's worth of depreciation for December as if the asset was purchased on the first of the month.) At the end of the accounting period, you'll provide Jeremy Gates with the asset information and schedule so that he can review it and make any changes if necessary.



FORM 15 Rocker Woodcraft Sold To Basswood Furniture Invoice HID. 124 River St. Hmam PA Term 4 541 Oak st. Salesperson Hemlock, PA 18955 Shipped By Our Order No. 2 1 149 Your Order No. Date December 3, EQXX m 55- 4.455515551119119 0995555 $2299 55 $2299 55 Systcm DC 532 15:: 137 94 Total $2435 94 Check #2555 [755 on} Balance Due $1555 94
Step by Step Solution
There are 3 Steps involved in it
Get step-by-step solutions from verified subject matter experts
