Question: Hello I need some help with my home work assignment. Sorry i couldn't fit it all on one page, I would love for the question




Hello I need some help with my home work assignment. Sorry i couldn't fit it all on one page, I would love for the question to be explained step by step and also if possible highlight or bold the answer to help me. Thank you to who helps me in advance.




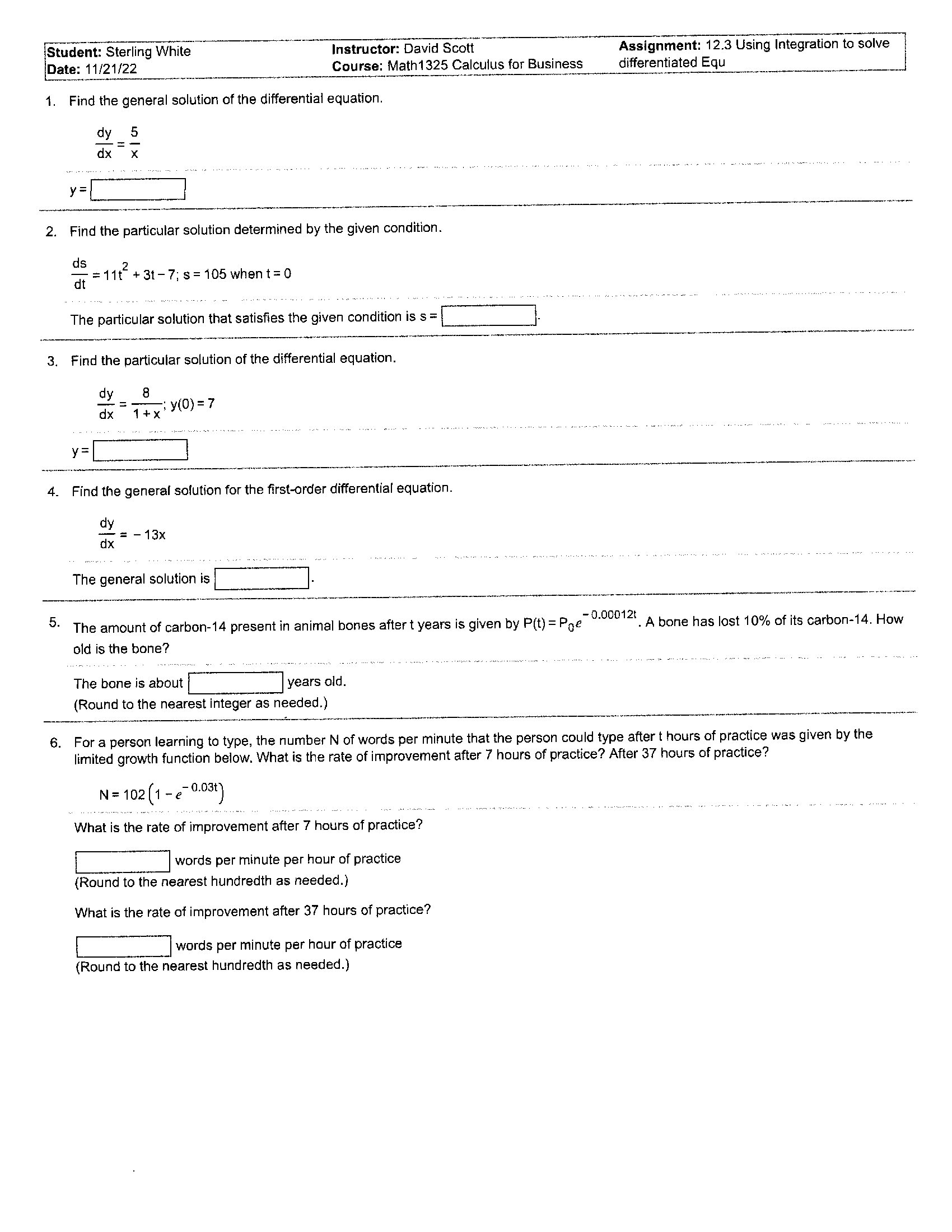
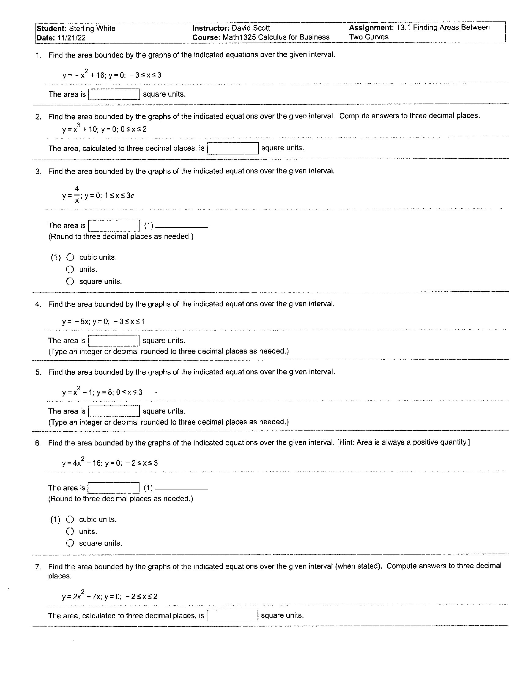
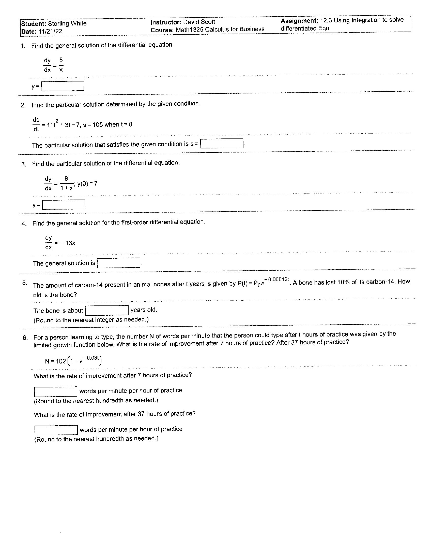
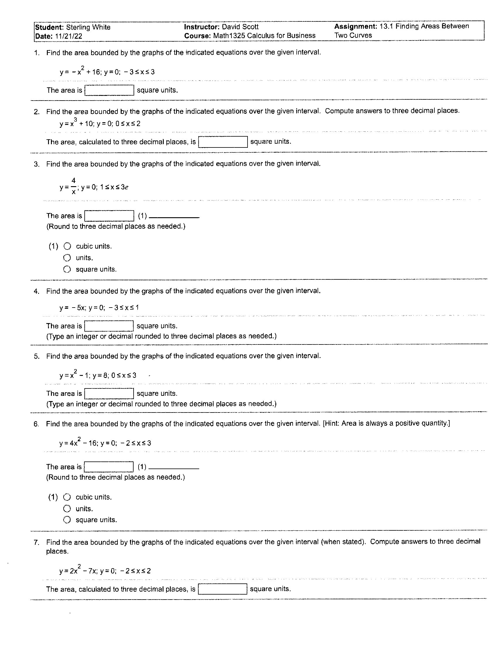
Student: Sterling White Instructor: David Scot Assignment: 12.3 Using Integration to solve Date: 11/21/2 Course: Math1325 Calculus for Business differentiated Equ 1. Find the general solution of the differential equation. dy 5 dx X Y = 2. Find the particular solution determined by the given condition. at =11t + 31-7; s = 105 when t= 0 The particular solution that satisfies the given condition is s = 3. Find the particular solution of the differential equation. dy _ 8 dx - 1 +x' y(0 ) = 7 y= 4. Find the general solution for the first-order differential equation. -= - 13x The general solution is 5. The amount of carbon-14 present in animal bones after t years is given by P(t) = Pee .". A bone has lost 10% of its carbon-14. How old is the bone? The bone is about years old . Round to the nearest integer as needed. 6. For a person learning to type, the number N of words per minute that the person could type after t hours of practice was given by the limited growth function below. What is the rate of improvement after 7 hours of practice? After 37 hours of practice? N = 102 (1 - e- 0.03t) What is the rate of improvement after 7 hours of practice? words per minute per hour of practice Round to the nearest hundredth as needed.) What is the rate of improvement after 37 hours of practice? words per minute per hour of practice Round to the nearest hundredth as needed.)Student: Sterling White Instructor: David Scott Assignment: 12.4 Introduction to Definite Date: 11/21/22 Course: Math 1325 Calculus for Business Integrals 1. Calculate the definite integral by referring to the figure with the indicated areas. Area A = 1.575 Area C = 5.73 Area B = 2.778 Area D = 1.799 Ab [ f(x )dx = Calculate the definite integral by referring to the figure with the indicated areas. f ( x ) dx Ab d C Area A = 1.268 Area C = 5.709 Area B = 2.418 Area D = 1.786 [ 1( x )dx = [ 3. Calculate 5x dx, given the following. |xax = 16.5 152 (x ax = 127 AL 5 x dx = 4. Calculate (8x+ x2) dx, given the following. [ (8x+ x2) dx = 2 (Type an integer or a simplified fraction.)5. Calculate 9x dx, given the following. ( ox 2 dx =[ 4 (Type an integer or a simplified fraction.) 6. Calculate ( 6x - 9)2dx, given the following.SEBFJthTSterIing White Instructor: David Scott Assignment: 13.1 Finding Areas Between Date: 11/21/22 Course: Math1325 Calculus for Business Two Curves m 1. Find the area bounded by the graphs of the indicated equations over the given interval. 2 y= -x +16; y=0: -SSX53 The area is E: square units. 2. Find the area bounded by the graphs of the indicated equations over the given interval. Compute answers to three decimal places. y=x3 +10; y=0; 05x52 The area. calculated to three decimal places, is :l square units. 3. Find the area bounded by the graphs of the indicated equations over the given interval. 4 y=;;y=0;15x539 The area is |::::] (1) (Round to three decimal places as needed.) (1) C! cubic units. 0 units. C) square units. 4. Find the area bounded by the graphs of the indicated equations over the given interval. y= -5x; y=O; -3$x51 The area is I square units. (Type an integer or decimal rounded to three decimal places as needed.) 5. Find the area bounded by the graphs of the indicated equations over the given interval. _ 2 . yx 1,y=8;05x53 The area is E:::] square units. (Type an integer or decimal rounded to three decimal places as needed.) 8. Find the area bounded by the graphs of the indicated equations over the given interval. [Hint Area is always a positive quantity] y=4x216:y=0; 2st3 The area is 1: (1) (Round to three decimal places as needed.) (1) C) cubic units. 0 units. CB square units. 7. Find the area bounded by the graphs of the indicated equations over the given interval (when stated). Compute answers to three decimal places. y=2x2?x; y=0; 25x52 The area, calculated to three decimal places. is E: square units
Step by Step Solution
There are 3 Steps involved in it
Get step-by-step solutions from verified subject matter experts
