Question: Hello, I need some help with the following question sections that are underlined: Step Selection : Stationary toy car getting hit by a pendulum swing
Hello, I need some help with the following question sections that are underlined:
- Step Selection: Stationary toy car getting hit by a pendulum swing
- Previous Step: Pendulum swing hitting a stationary toy car
- Description: Analyze the behavior of the object in the interaction between the previous step and the selected step. Qualitatively describe the transfer of energy that occurs. Apply principles of conservation of energy and momentum to this behavior.
- Equations: Provide the equations that can be used to describe the transfer of energy and the momentum of the object from the previous step to the selected step. Explain the connection between the basic physics concepts in the equations and the interaction of the object and force(s) from step to step.
- Calculations: Calculate the transfer of energy and the momentum from the previous step to the selected step, using the applicable equations you identified. Explain how these calculations help you predict the object's location and velocity from the previous step to the step you selected.
I have included pics of my previous step report to help with the context and any data you might need:





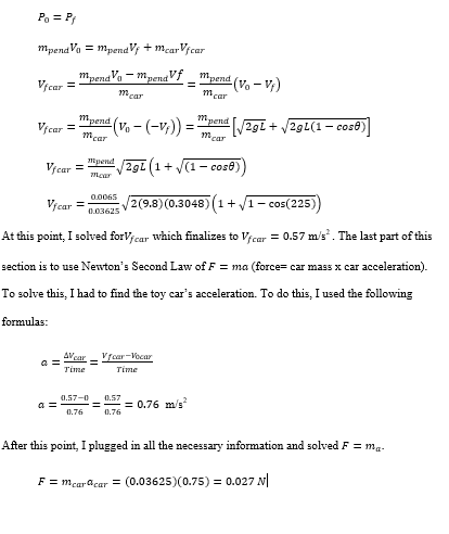
1. Step Selection: The step selection I have chosen for milestone one is the very first step within my Rube Goldberg device; a pendulum hitting a stationary toy car. The pendulum will be released at a horizontal 0* angle with the length of the pendulum measuring 0.3048 m and the mass of the ball weighing 0.0065 kg. It will then collide with the stationary toy car which has a mass of 0.03625 kg. I have included a very simplistic sketch to help with understanding what is occurring during this step selection and the transitions to and from the neighboring steps. PENDULUM HITTING TOY CAR (STEP 1) L COSO M M=O TIT\f(mass x gravity x height length = >% mass x initial velocity squared). Through continuous rearranging, the final formula used to find the initial velocity of the ball and pendulum right before it hits the toy car isV, = ,/2gh (initial velocity=square root of 2 x gravity x height length). From here, I just filled in all the necessary components I had and solved for Vo. Therefore, Vo = /2(9.8) (0.3048) which finalizes to V, = 2.44 m/'s . The ball and pendulums initial velocity tells us that it is moving horizontally south of west at a speed of 2.44 meters per second; also, within this step, as the ball and pendulum is released, its potential energy decreases while its kinetic energy increases until it collides with the stationary toy car.\fPa = Pr Mpend Va = Mpend Vy + mearVfcar Vfcar = - Mpend VampandVf Mpend (Vo - VF ) 1car car= Mpend ( Va - (-V)) = Muend V2gL + 294(1 - cost) Mcer Vfcar = Muend /291 (1 + / (1 - coEd) 0.0045 0.03625 V2(9.8) (0.3048) (1+ /1 - cos(225) At this point, I solved foryear which finalizes to Vcar = 0.57 m/'s . The last part of this section is to use Newton's Second Law of F = ma (force= car mass x car acceleration). To solve this, I had to find the toy car's acceleration. To do this, I used the following formulas: 0.57-0 1.57 = 0.76 m/3 0.76 0.76 After this point, I plugged in all the necessary information and solved F = m,- F = Mcaracar = (0.03625) (0.75) = 0.027 N
Step by Step Solution
There are 3 Steps involved in it
Get step-by-step solutions from verified subject matter experts
