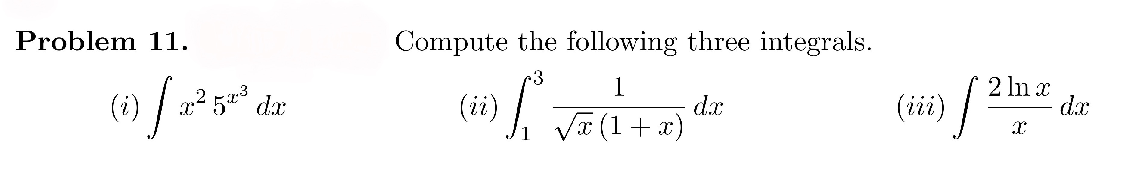
Question: Help by using Calculus 1 techniques please. Problem 11. Compute the following three integrals. 3 2 In x (i) / 2250 da (ii) dx (iii)
Help by using Calculus 1 techniques please.

Step by Step Solution
There are 3 Steps involved in it
1 Expert Approved Answer
Step: 1 Unlock
Question Has Been Solved by an Expert!
Get step-by-step solutions from verified subject matter experts
Step: 2 Unlock
Step: 3 Unlock
