Question: Help COMPUTER PROJECT #3: PR ON THE LONG ROAD TO RESTORE POWER We all know the painful long-term restoration of PR electrical system after Hurricane
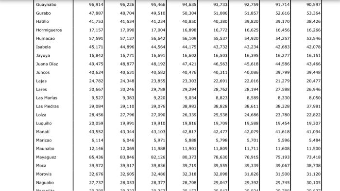
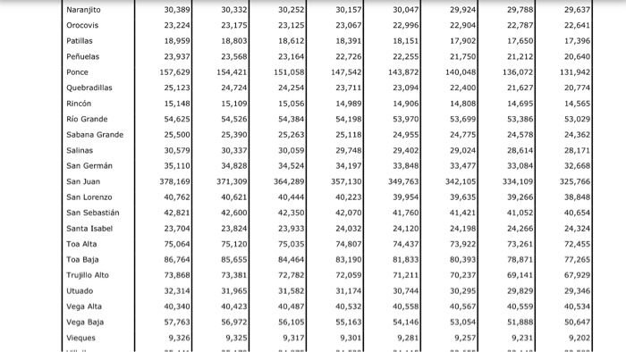
COMPUTER PROJECT #3: PR ON THE LONG ROAD TO RESTORE POWER We all know the painful long-term restoration of PR electrical system after Hurricane Maria. The Algorithm and Computer Programming class wants to contribute five-cents help to PREPA (Puerto Rico Electrical Power Authority) Having the feeling that the electrical restoration, after the emergency, does not have a good management, as the company does not provide clear information of its approach to the problem, we propose to help in the itinerary of the restoration taking into account the following (1) PREPA have not enough human and material resources to restore power in a timely basis (2) Lack of power has caused human deaths at homes and hospitals due to unavailability to operate specialized medical equipment in a continuous mode. Faster the restoration less human pain (3) Lack of power will finish 'death execution' the weak PR economy and wallets of its inhabitants NEED POWER INDEX (NPI) Let's develop the need-power index (NPI) as an excuse to learn programming. This index ponders the population and the percentage of electrical damage as the main factors to influence the restoration itinerary (a) PR has 78 towns. Reference each town by its alphabetical position, being Adjuntas Town (1)", Aguada Town (2)and Yauco, "Town(78)." INPUT DATA (b) Population (POP) Towns with larger population would rank higher in power need. Express the town population as a percentage of the total PR population to produce a client ranking in the range of [0,100] percent. Call this ranking simple "POP. Example, San Juan with the largest population (342,105) will have POP equal to (342,105/Total PR population) 100 9.98
Step by Step Solution
There are 3 Steps involved in it
Get step-by-step solutions from verified subject matter experts
