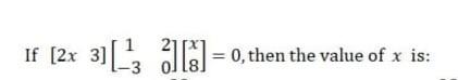
Question: If [2x 3] -3 ll = 0, then the value of x is:
![If [2x 3] -3 ll = 0, then the value of x](https://dsd5zvtm8ll6.cloudfront.net/si.experts.images/questions/2020/07/5f1fd0dcbd115_IMG20200728WA000411.jpg)
If [2x 3] -3 ll = 0, then the value of x is:
Step by Step Solution
3.49 Rating (162 Votes )
There are 3 Steps involved in it
Detailed solution First lets look at the concept of matrix multiplication 1 M... View full answer
Get step-by-step solutions from verified subject matter experts
