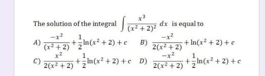
Question: x3 The solution of the integral (x2 + 2)? dx is equal to -x? + In(x2 + 2) +c 2(x +2) -x2 -x2 A)

x3 The solution of the integral (x2 + 2)? dx is equal to -x? + In(x2 + 2) +c 2(x +2) -x2 -x2 A) In (x? + 2) +c B) (x2 + 2) x2 +In(x2 + 2) +e D) 1. C) 2(x2 + 2) +In(x + 2) +c 2(x2 + 2)
Step by Step Solution
3.34 Rating (154 Votes )
There are 3 Steps involved in it
Get step-by-step solutions from verified subject matter experts
