Question: Help me pls q's 8-11 Is there a difference between community college statistics students and university statistics students in flat technology they use on their








Help me pls q's 8-11








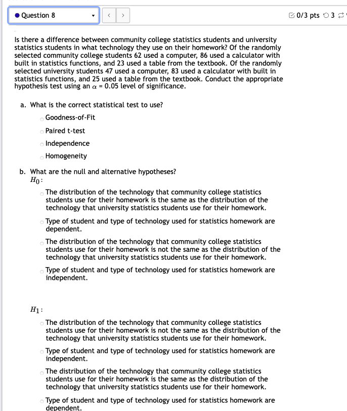
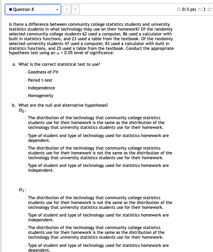
Is there a difference between community college statistics students and university statistics students in \"flat technology they use on their homework? [if the randomly selected community college students I52 used a computer. so used a calculator with built in statistics functions, and 13 used a table from the textbook. lElf the randomly selected university students 4? used a computer, 33 used a calculator with built in statistics functions, and 15 used a table from the textbook. Conduct the appropriate hypothesis test using an o: - 111.05 level of significance. a. What is the correct statistical test to use? ltE-oodness'oiLFit Paired t-test Independence Homogeneity b. 'li'hat are the null and alternative hypotheses? Hg: The distribution of the technology iat community college statistics students use for their homework is the same as the distribution of the technology that university statistics students use for their homework. Type of student and type of technology used for statistics homework are dependent. The distribution of the technology that community college statistics students use for their homework is not the same as the distribution of the technology that university statistics students use for their homework. Type of student and type of technology used for statistics homework are independent. The distribution of the technology that community college statistics students use for their homework is not the same as the distribution of the technology that university statistics students use for their homework. Type of student and type of technology used for statistics homework are independent. The distribution of the technology that community college statistics students use for their homework is 'lE' same as the distribution of the technology that university statistics students use for their homework. Type of student and type of technology used for statistics homework are dependent. dependent. c. The testrstatistic for this data = l:' {Please show your answer to three decimal places.i d. The p-value for this sample = |:|{Please show your answer to four decimal places.) f. Based on this, we should fail to reject the null accept the null reject the null g. Thus. the final conclusion is... There is sufficient evidence to conclude that the distribution of the technology that community college statistics students use for their homework is the same as the distribution {if the technology that university statistics students use for their homework. There is sufficient evidence to conclude at the distribution of the technology that community college statistics students use for their homework is not the same as the distribution of the technology that university statistics students use for their homework. There is sufficient evidence to conclude that type of student and type of technology used for statistics homework are dependent. There is insufficient evidence to conclude that type of student and type of technology used for statistics homework are independent. There is insufficient evidence to conclude that the distribution of the technology that community college statistics students use for HTEiI' homework is not the same as the distribution of the technology that university statistics students use for their homework. . Question 9 0/3 pts 3 99 @ Details A psychologist is interested in testing whether there is a difference in the distribution of personality types for business majors and social science majors. The results of the study are shown below. Personality Frequencies for Business and Social Science Majors Open Conscientious | Extrovert | Agreeable | Neurotic Business 93 44 29 64 25 Social Science 89 77 71 70 32 What can be concluded at the a = 0.01 significance level? a. What is the correct statistical test to use? Goodness-of-Fit o Independence o Homogeneity Paired t-test b. What are the null and alternative hypotheses? Ho Personality type and major are dependent. The distribution of personality types for business majors is not the same as it is for social science majors. The distribution of personality types for business majors is the same as it is for social science majors. Personality type and major are independent. H1 : The distribution of personality types for business majors is not the same as it is for social science majors. o Personality type and major are independent. Personality type and major are dependent. The distribution of personality types for business majors is the same as it is for social science majors. c. The test-statistic for this data = (Please show your answer to three decimal places.) d. The p-value for this sample = (Please show your answer to four decimal places.)cl. The p-value for this sample = |:|[Please show your answer to four decimal places} 1'. Based on this, we should fail to reject the null accept the null reject the null 3. Thus, the nal conclusion is... There is insufficient evidence to conclude that the distribution of personality types for business majors is not the same as it is for social science majors. There is sufficient evidence to conclude that the distribution of personality types for business majors is not the same as it is for social science majors. There is insufficient evidence to conclude that personality type and major are dependent. There is sufficient evidence to conclude that personality type and major are dependent. There is sufficient evidence to conclude that the distribution of personality types for business majors is the same as it is for social science majors. . Question 10 0/3 pts 3 # 99 0 D A researcher is interested in investigating whether the military branch a person signs up for and the person's blood type are dependent. The table below shows the results of a survey. Frequencies of Military Branch and Blood Type A B AB Army 750 0 64 24 Navy 118 73 42 22 Air Force 140 75 58 25 Marines 115 87 68 28 What can be concluded at the a = 0.10 significance level? a. What is the correct statistical test to use? Homogeneity Goodness-of-Fit Paired t-test Independence b. What are the null and alternative hypotheses? Ho : Blood type and branch of the military are dependent. The distribution of blood types is not the same for each branch of the military The distribution of blood types is the same for each branch of the military. Blood type and branch of the military are independent. H1 : Blood type and branch of the military are independent. The distribution of blood types is the same for each branch of the military. The distribution of blood types is not the same for each branch of the military. Blood type and branch of the military are dependent. c. The test-statistic for this data = (Please show your answer to three decimal places.) d. The p-value for this sample = (Please show your answer to four decimal places.) e. The p-value is | Select an answere. The p-value is Select an answer f. Based on this, we should reject the null fail to reject the null accept the null g. Thus, the final conclusion is... There is insufficient evidence to conclude that the distribution of blood types is not the same for each branch of the military. There is sufficient evidence to conclude that blood type and branch of the military are dependent. There is sufficient evidence to conclude that blood type and branch of the military are independent. o There is sufficient evidence to conclude that the distribution of blood types is not the same for each branch of the military There is insufficient evidence to conclude that blood type and branch of the military are dependent.A researcher is interested in investigating whether religious affiliation and the brand of sneakers that people Iu-rear are associated. The table below shows the results of a survey. Frequencies of Religions and Sneakers 1ll'lil'hat can be concluded at the a - Il significance level? a. What Is the correct statistical test to use? Paired t-test Homogeneity Independence Goodness-of-Fit b. Wl'lat are the null and alternative hypotheses? H11}: Sneaker brand and religious affiliation are dependent. Sneaker brand and religious affiliation are independent. The distribution of sneaker brand is not the same for each religion. The distribution of sneaker brand is the same for each religion. H1 : The distribution of sneaker brand is not the same for each religion. The distribution of sneaker brand is the same for each religion. Sneaker brand and religious affiliation are dependent. Sneaker brand and religious affiliation are independent. c. The test-statistic for this data = S {Please show your answer to three decimal places.} d. The p-tralue for this sample - suitcase showr your answer to four rhrimal nines-lg 'I e. The p-value is Select an answer f. Based on this, we should reject the null fail to reject the null accept the null g. Thus, the final conclusion is... There is sufficient evidence to conclude that the distribution of sneaker brand is not the same for each religion. There is insufficient evidence to conclude that the distribution of sneaker brand is not the same for each religion. There is sufficient evidence to conclude that sneaker brand and religious affiliation are independent. There is insufficient evidence to conclude that sneaker brand and religious affiliation are dependent. There is sufficient evidence to conclude that sneaker brand and religious affiliation are dependent
Step by Step Solution
There are 3 Steps involved in it
Get step-by-step solutions from verified subject matter experts
