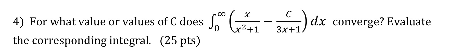
Question: Help me this one plsss X C 4) For what value or values of C does x2+1 dx converge? Evaluate 3x+1 the corresponding integral. (25

Help me this one plsss

X C 4) For what value or values of C does x2+1 dx converge? Evaluate 3x+1 the corresponding integral. (25 pts)
Step by Step Solution
There are 3 Steps involved in it
Get step-by-step solutions from verified subject matter experts
