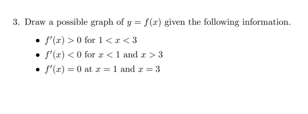
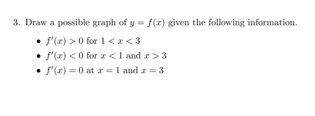
Question: help please. detailed step by step would be really helpful please 3. Draw a possible graph of y = f (3') given the following information.

help please. detailed step by step would be really helpful please

3. Draw a possible graph of y = f (3') given the following information. o f'(3:)>0for1<:r o f>3 o f'(:r):0at:r:1and:c:3
Step by Step Solution
There are 3 Steps involved in it
Get step-by-step solutions from verified subject matter experts
