Question: Hey, i need the answer fast as possible please no explanation just the answer fast, please. in 5 minutes. i will give you a upvote
Hey, i need the answer fast as possible please no explanation just the answer fast, please. in 5 minutes. i will give you a upvote right away





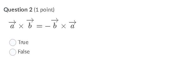
\fQuestion 2 (1 point) a x b = b x a O True O FalseQuestion 3 (1 point) % The calculation of E) - b X E) mil result in a O the calculation is not possible 0 unit vector O scalar equal to zero 0 non zero scalar 0 vector with magnitude not equal to 1
Step by Step Solution
There are 3 Steps involved in it
Get step-by-step solutions from verified subject matter experts
