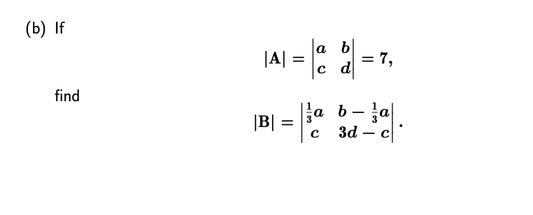
Question: HI, Can you please solve this question ( b) If a b |A| = d = 7, find B| = a b - a c
HI, Can you please solve this question

( b) If a b |A| = d = 7, find B| = a b - a c 3d- c
Step by Step Solution
There are 3 Steps involved in it
Get step-by-step solutions from verified subject matter experts
