Question: Hi I am having trouble solving a utility maximizing problem with an OLG model for 3rd year macroeconomics. Here's the decision problem with the constraint


Hi I am having trouble solving a utility maximizing problem with an OLG model for 3rd year macroeconomics.
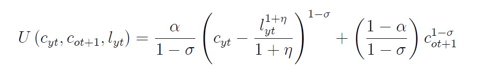
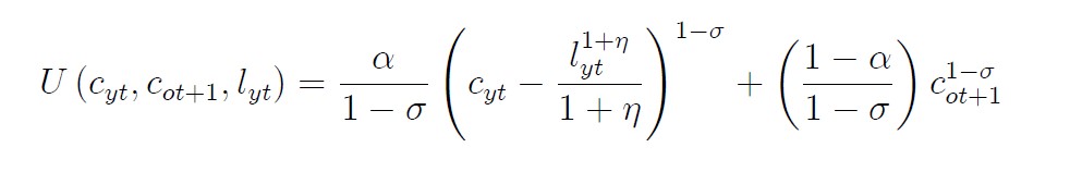
Here's the decision problem with the constraint and the utility function.
I think I'm supposed to use the lagrangian method, but as a muture age student who last did calculus years ago, I'm having trouble doing the partial differentiation of the three variables cyt, cot and lt. I can't move onto the next step without it.
Thanks in advance for any help you can provide :)


The decision problem for a member of generation t is max U (Cut, Cot+1, lyt) Cyt , Cot+1, lyt subject to: Cot+1 Cut + = lut Wt I + rt+11-0 jitn a yt 1 - a 1-0 U (Cut, Cot+1, lyt, Cyt + Cot+1 - 0 1 +n - 0
Step by Step Solution
There are 3 Steps involved in it
Get step-by-step solutions from verified subject matter experts
