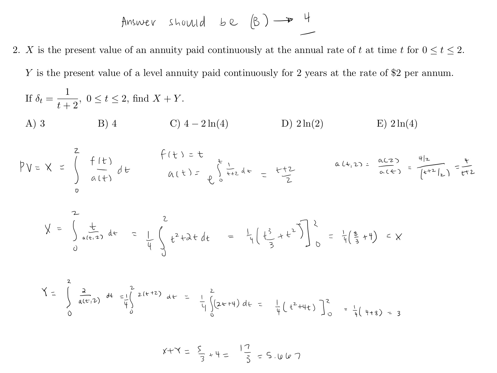
Question: Hi. I've shown the method that I used to try to solve the problem but I can't seem to get 4. Answer should be (

Hi. I've shown the method that I used to try to solve the problem but I can't seem to get 4.

Answer should be ( B ) -4 2. X is the present value of an annuity paid continuously at the annual rate of t at time t for 0
Step by Step Solution
There are 3 Steps involved in it
Get step-by-step solutions from verified subject matter experts
