Question: hi please help me answer this question correctly and accurately please don't copy paste answer QUESTION 1: [10 POSSIBLE POINTS] Considering the directed graph G
hi please help me answer this question correctly and accurately please don't copy paste answer
QUESTION 1: [10 POSSIBLE POINTS]

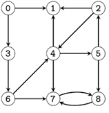
Considering the directed graph G = (V,E) shown above and assume that the adjacency lists for all vertices are sorted by increasing vertex indices , answer the following:
1. Run DFS(G) and show discovery time, finish time and predecessor for each node. And show the DFS forest.
2. How many times in total has DFS-Visit has been called?
3. Run BFS (G, 0) starting with source 0. Show the Queue after each step. Show also d[], p[] lists and BFS tree.
0 1 2 3 4 5 6 7 8
Step by Step Solution
There are 3 Steps involved in it
Get step-by-step solutions from verified subject matter experts
