Question: hi please help me answer this question correctly and accurately please don't copy paste answer this is the fourth time i post same question QUESTION
hi please help me answer this question correctly and accurately please don't copy paste answer this is the fourth time i post same question
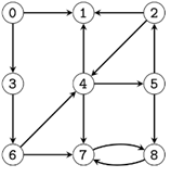
QUESTION 1: [10 POSSIBLE POINTS]

Considering the directed graph G = (V,E) shown above and assume that the adjacency lists for all vertices are sorted by increasing vertex indices , answer the following:
1. Run DFS(G) and show discovery time, finish time and predecessor for each node. And show the DFS forest.
MUST answer dfs forest and show in table discovery time finish time and predecessor and why not choosing a random path whats the difference are there different solutions?
2. How many times in total has DFS-Visit has been called?
3. Run BFS (G, 0) starting with source 0. Show the Queue after each step. Show also d[], p[] lists and BFS tree.
please draw the tree and the queue
COPY PASTE ANSWER IS NOT ACCEPTED
0 1 2 3 4 5 6 7 8
Step by Step Solution
There are 3 Steps involved in it
Get step-by-step solutions from verified subject matter experts
