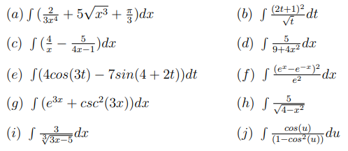
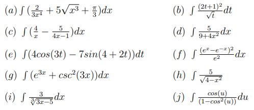
Question: Hi, please solve the indefinite integral problems given below (a) S(+5vx3 + [)dx ( b) s (2t+1)2 dt t (c) SG - 5 5 4r-1

Hi, please solve the indefinite integral problems given below

(a) S(+5vx3 + [)dx ( b) s (2t+1)2 dt t (c) SG - 5 5 4r-1 (d) S 9+4x2 (e) S(4cos(3t) - 7sin(4 + 2t) ) dt ( f ) [ ( ex - e-z )2 -2 (g) S(e3z + csc? (3x)) dx (h) S 5 4-r (2) S 3 cos (2) du 3x-5 (j) S (1-cos' (2))
Step by Step Solution
There are 3 Steps involved in it
Get step-by-step solutions from verified subject matter experts
