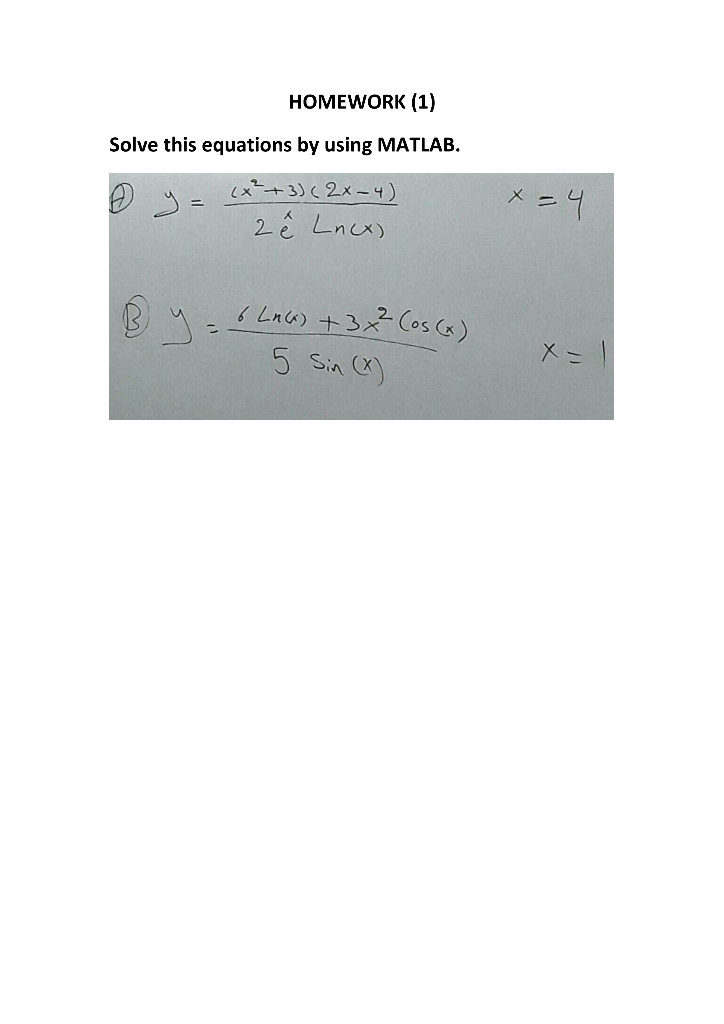
Question: HOMEWORK (1) Solve this equations by using MATLAB. y= (x+3)(2x-4) 2 Lucx) x = 4 3 y 6 Luk) + 3x (os (x) 5 Sin

HOMEWORK (1) Solve this equations by using MATLAB. y= (x+3)(2x-4) 2 Lucx) x = 4 3 y 6 Luk) + 3x (os (x) 5 Sin (X) x=1
Step by Step Solution
There are 3 Steps involved in it
Get step-by-step solutions from verified subject matter experts
