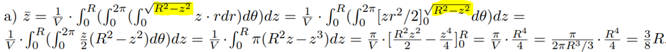
Question: Homogenous halved ball W has radius R. W = {(:r, y, z) R31 + -F R2, z 2 0}




Homogenous halved ball W has radius R.




W = {(:r, y, z) R31 + -F R2, z 2 0}
Step by Step Solution
There are 3 Steps involved in it
Get step-by-step solutions from verified subject matter experts
