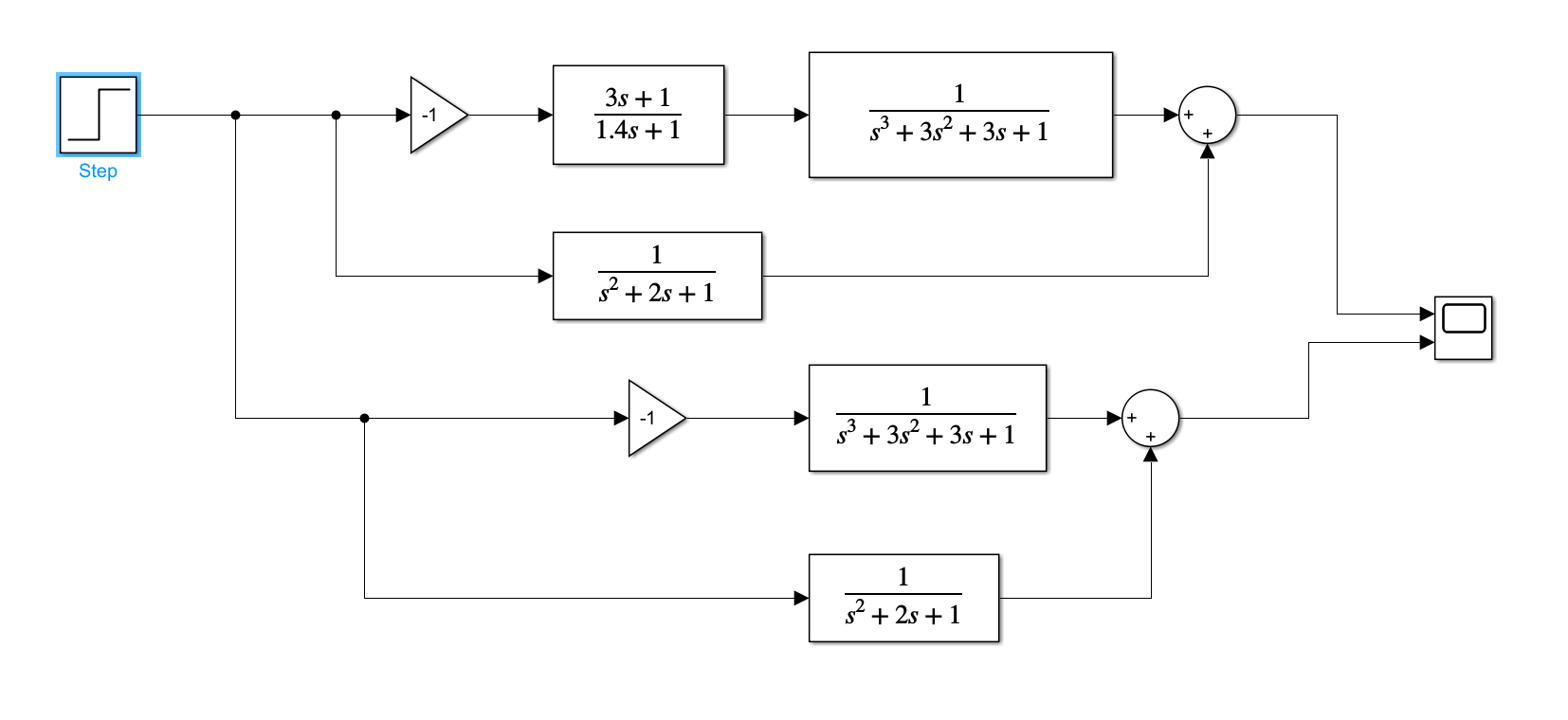
Question: How can I change this feedforward Simulink model to a feedback control with feedforward-feedback control. The Simulink model can be seen here: and this should
How can I change this feedforward Simulink model to a feedback control with feedforward-feedback control.
The Simulink model can be seen here:

and this should be the result after simulation: (how can I change it to get this graph)

FIGURE 17-23
Step by Step Solution
There are 3 Steps involved in it
Get step-by-step solutions from verified subject matter experts
