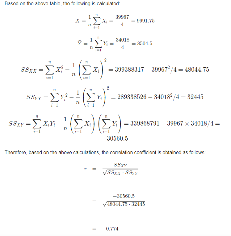
Question: How can I insert this formula in to excel? Based on the above table, the following is calculated: X = Xi = 39967 - 9991.75
How can I insert this formula in to excel?

Based on the above table, the following is calculated: X = Xi = 39967 - 9991.75 n 4 i=1 34018 Y = - 8504.5 1=1 4 n n SSXX = X? Xi = 399388317 - 399672/4 - 48044.75 n SSyy = Yi = 289338526 - 340182/4 = 32445 i=1 SSxY = >XiVi- n i=1 [vi = 339868791 - 39967 x 34018/4= i=1 -30560.5 Therefore, based on the above calculations, the correlation coefficient is obtained as follows: SSXY VSSxx . SSYY -30560.5 = V48044.75 - 32445 = -0.774
Step by Step Solution
There are 3 Steps involved in it
Get step-by-step solutions from verified subject matter experts
