Question: How come the yellow part. 3. (Practice) The Hermite equation is given by y' - 2xy + 2Ay = 0, where is a constant. (a)


How come the yellow part.
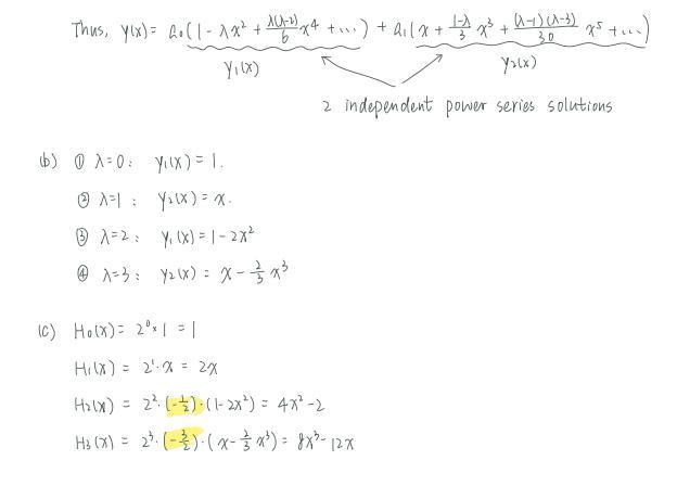
3. (Practice) The Hermite equation is given by y' - 2xy + 2Ay = 0, where is a constant. (a) Find the first three terms in each of two independent power series solutions. (b) If X = n is a nonnegative integer, then one of the power series solutions will become a polynomial. Find the polynomial solutions for n=0,1,2,3. The Hermite polynomials H, (T) are the polynomial solutions of the Hermite equation normalized so that the coefficient of r* is 2". Find H.(I), H.(x), H2(x), H3(x). Thus, yx) = Roll- ***+ 40,4x4 +.) + A112 + x + U-1) U-3) 30 Yix) Yax) 2 independent power series solutions b) 0 = 0: YUX) - 1 AYuxa Y=(x) = x. 3 = 1-2. Y. (X) = 1 - 2x @ 1-3: YzWx) = x - 3M Y2 2 c) Ho (x)2011 HX) = 2X = 2x Hrix) = 2(+):(1-2x) = 4x2-2 H2O) = 2% (-)-(x-3) = 8x12
Step by Step Solution
There are 3 Steps involved in it
Get step-by-step solutions from verified subject matter experts
