Question: How do I get the true mean or confidence interval for sample B numbers? I am missing one sample number which is 6.0mm and that
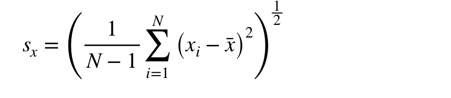
How do I get the true mean or confidence interval for sample B numbers? I am missing one sample number which is 6.0mm and that would make 20 sample numbers. First photo is the sample mean formula, second photo is the standard deviation formula, and the third photo is the true mean formula. At 95% t= 2.093 from t-table. What is the true mean when I have provided formulas and sample numbers?




Step by Step Solution
There are 3 Steps involved in it
Get step-by-step solutions from verified subject matter experts
