Question: How do I get the true mean or confidence interval for sample C+D numbers? I am missing one sample number which is 22.4mm and that

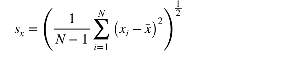
How do I get the true mean or confidence interval for sample C+D numbers? I am missing one sample number which is 22.4mm and that would make 20 sample numbers. First photo is the sample mean formula, second photo is the standard deviation formula, and the third photo is the true mean formula. At 95% t= 2.093 from t-table. What is the true mean of sample and answer for C+D? I got 22.663mm for the sample mean.

How do I get the true mean or confidence intervalHow do I get the true mean or confidence intervalHow do I get the true mean or confidence intervalHow do I get the true mean or confidence interval
\f\f\f\f

Step by Step Solution

There are 3 Steps involved in it

1 Expert Approved Answer
Step: 1 Unlock blur-text-image
Question Has Been Solved by an Expert!

Get step-by-step solutions from verified subject matter experts

Step: 2 Unlock
Step: 3 Unlock

Students Have Also Explored These Related Accounting Questions!