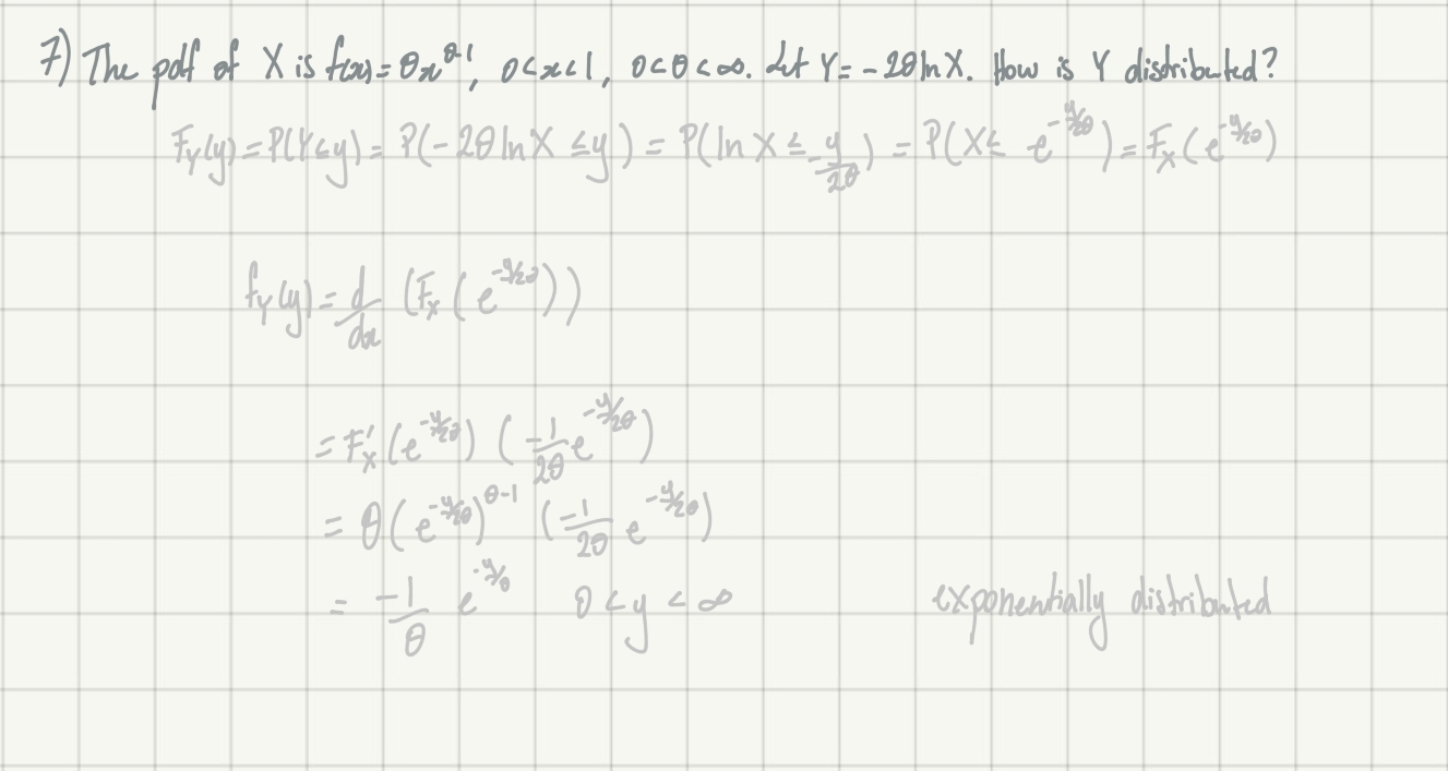
Question: How do I know that the mean is 2 in this question? 7) The polf of X is flag - On OcxLl, Ococos. aut Y=
How do I know that the mean is 2 in this question?

7) The polf of X is flag - On OcxLl, Ococos. aut Y= - 20inX. How is Y distributed? Fy ly ) = Plycy) - P ( - 20 In X sy ) = P( Inxs y ) = P(Xk e )= F (40) ty ly ) = 1 ( Fy ( e ) ) = File ) ( hoe 20 e S exponentially distributed
Step by Step Solution
There are 3 Steps involved in it
Get step-by-step solutions from verified subject matter experts
