Question: How do I show this equation works? 9. If the total cost function is given by TC = aQ? + bQ + c, show that
How do I show this equation works?

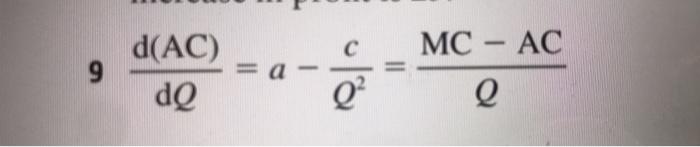
9. If the total cost function is given by TC = aQ? + bQ + c, show that d(AC) dQ MC - AC Q d(AC) dQ 2=0 9 o MC AC
Step by Step Solution
There are 3 Steps involved in it
1 Expert Approved Answer
Step: 1 Unlock
Question Has Been Solved by an Expert!
Get step-by-step solutions from verified subject matter experts
Step: 2 Unlock
Step: 3 Unlock
