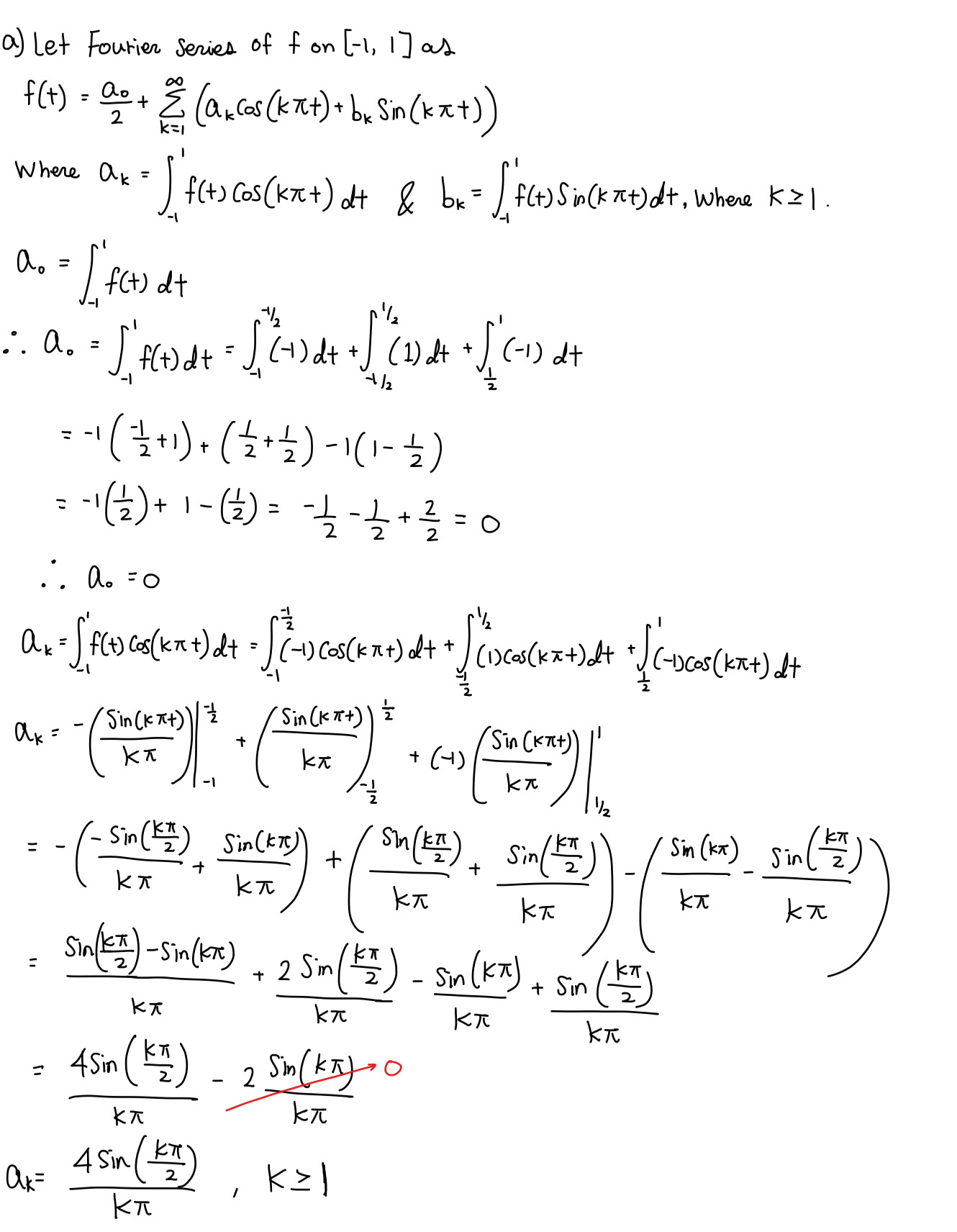
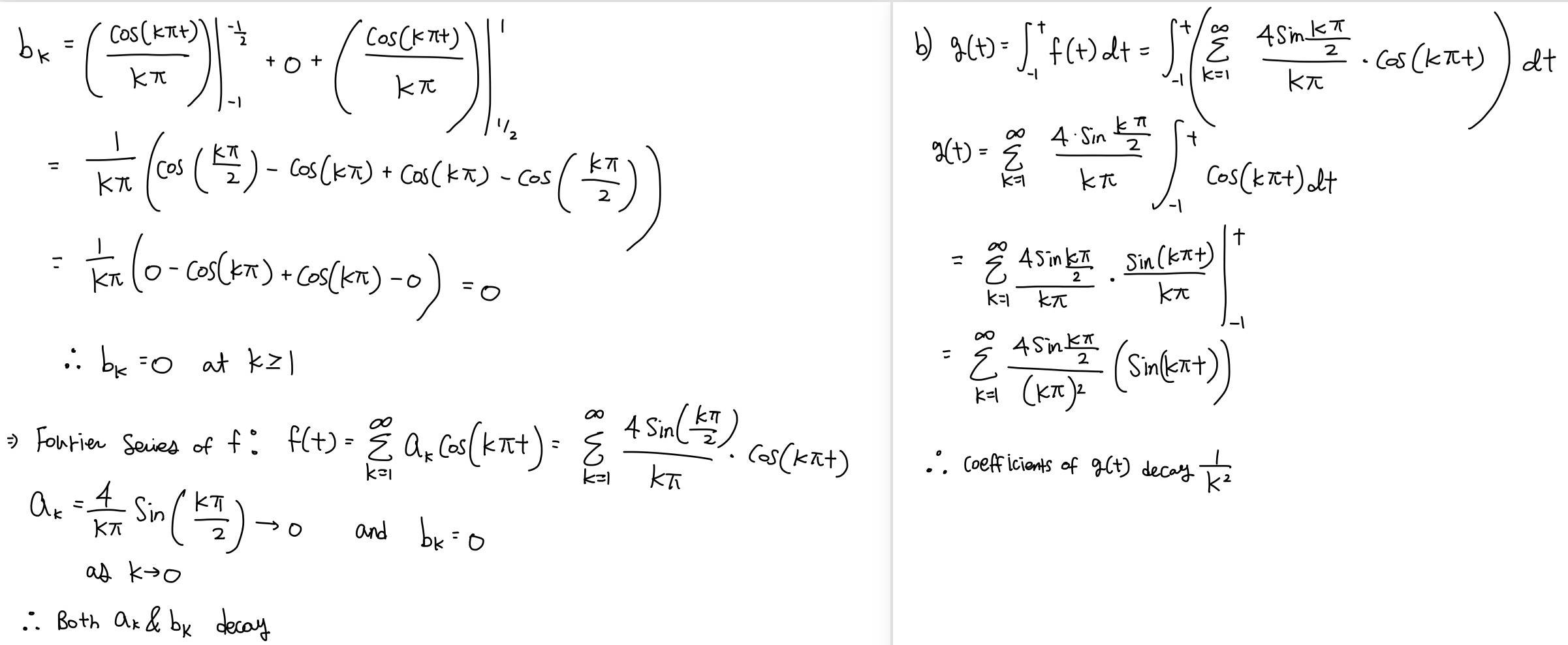
Question: How do I solve problem 2 using my answers from problem 1? I did this for Qt1. a) let Fourier series of fon [-1, 1]
How do I solve problem 2 using my answers from problem 1? I did this for Qt1.




Step by Step Solution
There are 3 Steps involved in it
1 Expert Approved Answer
Step: 1 Unlock
Question Has Been Solved by an Expert!
Get step-by-step solutions from verified subject matter experts
Step: 2 Unlock
Step: 3 Unlock
